城镇供热直埋热水管道技术规程 CJJ/T 81-2013
中华人民共和国行业标准
城镇供热直埋热水管道技术规程
Technical specification for directly buried hot-water heating pipeline in city
CJJ/T 81-2013
批准部门:中华人民共和国住房和城乡建设部
施行日期:2014年2月1日
中华人民共和国住房和城乡建设部公告
第91号
住房城乡建设部关于发布行业标准《城镇供热直埋热水管道技术规程》的公告
现批准《城镇供热直埋热水管道技术规程》为行业标准,编号为CJJ/T 81-2013,自2014年2月1日起实施。原行业标准《城镇直埋供热管道工程技术规程》CJJ/T 81-98同时废止。
本规程由我部标准定额研究所组织中国建筑工业出版社出版发行。
中华人民共和国住房和城乡建设部
2013年7月26日
前 言
根据原建设部《关于印发<2007年工程建设标准规范制订、修订计划(第一批)>的通知》(建标[2007]125号)的要求,规程编制组经广泛调查研究,认真总结实践经验,参考有关国外的先进标准,并在行业标准《城镇直埋供热管道工程技术规程》CJJ/T 81-98和广泛征求意见的基础上,修订本规程。
本规程主要技术内容是:1 总则;2 术语和符号;3 保温管及管件;4 管道布置与敷设;5 管道应力验算;6 固定墩设计;7 管道施工与验收;8 运行与维护。
本次修订的主要内容为:
1 对适用范围进行调整,扩大了管径的范围;
2 增加管道保温计算;
3 对摩擦力计算、管道局部稳定验算、固定墩设计进行调整;
4 增加运行与维护章节;
5 删除了原规程附录D三通加固方案。
本规程由住房和城乡建设部负责管理,由城市建设研究院负责具体技术内容的解释。请各单位在执行本规程过程中,注意总结经验,积累资料,随时将有关意见和建议寄交城市建设研究院(地址:北京市德胜门外大街36号;邮政编码:100120)。
本规程主编单位:城市建设研究院
北京市煤气热力工程设计院有限公司
本规程参编单位:中国市政工程华北设计研究院
太原理工大学
哈尔滨工业大学
太原市热力公司
北京特泽热力工程设计有限责任公司
北京豪特耐管道设备有限公司
昊天节能装备股份有限公司
中国石化集团上海工程有限公司
天津市管道工程集团有限公司保温管厂
大连科华热力管道有限公司
唐山兴邦管道工程设备有限公司
大连开元热力仪表管道有限公司
上海科华热力管道有限公司
北京市鼎超供热管有限公司
江苏地龙管业有限公司
天津开发区泰达保温材料有限公司
双鸭山龙唐管道工程有限公司
河北华热工程设计有限公司
河北金润热力燃气工程设计咨询有限公司
天津建塑供热管道设备工程有限公司
大连新光管道制造有限公司
江苏宏鑫管道工程设计有限公司
河北华孚管道防腐保温有限责任公司
本规程主要起草人:冯继蓓 杨健 杨良仲 王淮 王飞 邹平华 张建伟 贾震 刘芃 刘世宇 牛小化 钱琦 贾丽华 郑中胜 方向军 周曰从 邱华伟 杨秋 丛树界 陈雷 陆君利 包卫军 瞿桂然 王忠生 张骐 王向东 于春清 于宁 宋章根 邵秋 王瑨
本规程主要审查人:闻作祥 郭华 姚约翰 路建初 刘广清 梁鹂 于黎明 王胜华 杨铁荣 郭幼农 张书忱
1 总 则
1.0.1 为规范城镇供热直埋热水管道工程的设计、施工、验收和运行管理,制定本规程。
1.0.2 本规程适用于新建、改建、扩建的设计温度小于或等于150℃、设计压力小于或等于2.5MPa、管道公称直径小于或等于1200mm城镇供热直埋热水管道的设计、施工、验收和运行管理。
1.0.3 在地震、湿陷性黄土、膨胀土等地区,供热直埋热水管道工程除应符合本规程外,还应符合现行国家标准《室外给水排水和燃气热力工程抗震设计规范》GB 50032、《湿陷性黄土地区建筑规范》GB 50025和《膨胀土地区建筑技术规范》GB 50112的相关规定。
1.0.4 城镇供热直埋热水管道工程的设计、施工、验收和运行管理除应符合本规程外,尚应符合国家现行有关标准的规定。
2 术语和符号
2.1 术 语
2.1.1 直埋热水管道 directly buried heating pipeline
工作管、保温层、外护管形成整体保温结构,直接埋设于土壤中的预制保温管道。
2.1.2 屈服温差 temperature difference of yielding
管道在伸缩完全受阻的工作状态下,工作管管材开始屈服时的温度与安装温度之差。
2.1.3 活动端 free end
管道上安装补偿器和弯管等能补偿热位移的部位。
2.1.4 固定点 fixed point
管道上采用强制固定措施不能发生位移的点。
2.1.5 锚固点 natural fixed point
管道温度升高或降低到某一定值时,直线管道上发生热位移和不发生热位移管段的自然分界点。
2.1.6 驻点 stagnation point
两端为活动端的直线管段,当管道温度变化且全线管道产生朝向两端或背向两端的热位移,管道上位移为零的点。
2.1.7 锚固段 fully restrained section
管道温度发生变化时,不产生热位移的管段。
2.1.8 过渡段 partly restrained section
管段一端为固定点或驻点或锚固点,另一端为活动端,当管道温度变化时,能产生热位移的管段。
2.1.9 单位长度摩擦力 friction of unit lengthwise pipeline
保温管与土壤沿管道轴线方向单位长度的摩擦力。
2.1.10 弯头变形段长度 length of expansion leg
管道温度变化时,弯头两臂产生侧向位移的管段长度。
2 术语和符号
2.1 术 语
2.1.1 直埋热水管道 directly buried heating pipeline
工作管、保温层、外护管形成整体保温结构,直接埋设于土壤中的预制保温管道。
2.1.2 屈服温差 temperature difference of yielding
管道在伸缩完全受阻的工作状态下,工作管管材开始屈服时的温度与安装温度之差。
2.1.3 活动端 free end
管道上安装补偿器和弯管等能补偿热位移的部位。
2.1.4 固定点 fixed point
管道上采用强制固定措施不能发生位移的点。
2.1.5 锚固点 natural fixed point
管道温度升高或降低到某一定值时,直线管道上发生热位移和不发生热位移管段的自然分界点。
2.1.6 驻点 stagnation point
两端为活动端的直线管段,当管道温度变化且全线管道产生朝向两端或背向两端的热位移,管道上位移为零的点。
2.1.7 锚固段 fully restrained section
管道温度发生变化时,不产生热位移的管段。
2.1.8 过渡段 partly restrained section
管段一端为固定点或驻点或锚固点,另一端为活动端,当管道温度变化时,能产生热位移的管段。
2.1.9 单位长度摩擦力 friction of unit lengthwise pipeline
保温管与土壤沿管道轴线方向单位长度的摩擦力。
2.1.10 弯头变形段长度 length of expansion leg
管道温度变化时,弯头两臂产生侧向位移的管段长度。
2.2 符 号
A——工作管管壁的横截面积;
a——沟槽底宽度;
B——管道壁厚负偏差附加值;
C——土壤横向压缩反力系数;
c——安装工作宽度;
Dc——外护管外径;
Di——工作管内径;
Do——工作管外径;
Dw——保温层外径;
E——钢材的弹性模量;
Ea——主动土压力;
Ep——被动土压力;
e——供、回水管中心线距离;
F——单位长度摩擦力;
Ff——活动端对管道伸缩的阻力;
Fmax——单位长度最大摩擦力;
Fmin——单位长度最小摩擦力;
Fa、Fb——驻点两侧活动端对管道伸缩的阻力;
ƒ——地基承载力设计值;
ƒ1、ƒ2、ƒ3——固定墩底面、侧面及顶面与土壤的摩擦力;
ƒo——初始挠度;
G——包括介质在内的保温管单位长度自重;
Gg——固定墩自重;
G1——固定墩上部覆土重;
GW——单位长度管道上方的土层重量;
g——重力加速度;
H——管道中心线覆土深度;
Hl——管道当量覆土深度;
Hw——地下水位线深度;
b、d、h——固定墩宽、厚、高尺寸;
h1——固定墩顶面至地面的距离;
h2——固定墩底面至地面的距离;
Ip——直管工作管横截面的惯性矩;
Ib——弯头工作管横截面的惯性矩;
K——抗滑移系数;
Ks——被动土压力折减系数;
K′——弯头工作管柔性系数;
K0——土壤静压力系数;
Kov——抗倾覆系数;
k——与土壤特性和管道刚度有关的参数;
L——设计布置的过渡段长度;
L′——过渡段内计算截面距活动端的距离;
Lmax——直管段的过渡段最大长度;
Lmin——直管段的过渡段最小长度;
Lpr——预热管段长度;
Ls——一次性补偿器到固定点或驻点的距离;
ΔLs——一次性补偿器的计算预热伸长量;
le——弯头变形段长度;
lt.max——转角管段的过渡段最大长度;
lt.min——转角管段的过渡段最小长度;
lt——转角管段循环工作的过渡段长度;
lc1、lc2——转角管段的计算臂长;
ltd——竖向转角管段的变形段长度;
l、l1、l2——设计布置的管段长度;
la、lb——驻点两侧过渡段长度;
lcm——转角管段的平均计算臂长;
Δl——管段的热伸长量;
Δld——计算截面的热位移量;
Δla——假设过渡段的热伸长量;
Δl′——固定墩微量位移量;
Δlp——过渡段的塑性压缩变形量;
M——弯头的弯矩变化范围;
Na——锚固段的轴向力;
Nb——弯头两侧计算臂长相等时的轴向力;
Ns——竖向转角管段弯头的轴向力;
N1——弯头两侧计算臂长不等时,lc1侧的轴向力;
N2——弯头两侧计算臂长不等时,lc2侧的轴向力;
Np·max——管道的最大轴向力;
Nt·max——过渡段内计算截面的最大轴向力;
Nt·min——过渡段内计算截面的最小轴向力;
n——屈服极限增强系数;
P——土压力;
Pd——管道计算压力;
Q——作用在单位长度管道上的垂直分布荷载;
qs——供水管单位长度热损失;
qr——回水管单位长度热损失;
R——弯头的曲率半径;
Rh——附加热阻;
Rg——土壤热阻;
Rt——保温材料热阻;
R0——土壤表面换热热阻;
r——工作管平均半径;
rbm——弯头工作管横截面的平均半径;
rbo——弯头工作管横截面的外半径;
rbi——弯头工作管横截面的内半径;
SF——单位长度管道上方土体的剪切力;
s——两管道之间的净距;
T——固定墩、固定支架承受的推力;
T′——固定墩承受推力减小值;
Ts——预热管段对固定墩的推力;
ΔTy——工作管屈服温差;
t0——管道计算安装温度;
tg——管道中心线的自然地温;
t′g——计算点的土壤温度;
tws——供水管保温层外表面温度;
twr——回水管保温层外表面温度;
ts——计算供水温度;
tr——计算回水温度;
t1——管道工作循环最高温度;
t2——管道工作循环最低温度;
ti——预热开始前的管道温度;
W——管顶单位面积上总垂直荷载;
x——计算点与供水管中心线的水平距离;
X2——被动土压力作用点至固定墩底面的距离;
X1——主动土压力作用点至固定墩底面的距离;
ΔX——工作管径向最大变形量;
y——计算点的覆土深度;
Y——温度修正系数;
α——钢材的线膨胀系数;
βb——弯头平面弯曲环向应力加强系数;
χ——管道壁厚负偏差系数;
δ——工作管公称壁厚;
δb——弯头工作管的公称壁厚;
δm——工作管最小壁厚;
γs——安全系数;
φ——回填土的内摩擦角;
η——许用应力修正系数;
λ——弯头工作管的尺寸系数;
λg——土壤导热系数;
λt——保温材料在运行温度下的导热系数;
μ——摩擦系数;
ρ——土密度;
ρsw——地下水位线以下的土壤有效密度;

3 保温管及管件
3.1 一般规定
3.1.1 保温管及管件应为工作管、保温层、外护管为一体的工厂预制的产品。
3.1.2 在设计温度下和使用年限内,保温管和管件的保温结构不得损坏,保温管的最小轴向剪切强度不应小于0.08MPa。
3.1.3 当工作管使用钢管、外护管使用高密度聚乙烯、保温材料使用硬质聚氨酯泡沫塑料时,保温管及管件应符合现行国家标准《高密度聚乙烯外护管硬质聚氨酯泡沫塑料预制直埋保温管及管件》GB/T 29047的相关规定;当工作管使用钢管、外护管使用玻璃钢、保温材料使用硬质聚氨酯泡沫塑料时,保温管应符合现行行业标准《玻璃纤维增强塑料外护层聚氨酯泡沫塑料预制直埋保温管》CJ/T 129的相关规定。
3.1.4 工作管弯头可采用锻造、热煨或冷弯制成,不得使用由直管段做成的斜接缝弯头。弯头的最小壁厚不得小于直管段壁厚。
3.1.5 工作管三通宜采用锻压、拔制制成。三通主管和支管任意点的壁厚不应小于对应焊接的直管壁厚。
3.1.6 工作管异径管应采用同心异径管,异径管圆锥角不应大于20°。异径管壁厚不应小于直管道的壁厚。
3.1.7 保温层厚度应符合设计规定,并应保证运行时外护管表面温度小于50℃。
3.1.8 外护管两端应切割平整,并应与外护管轴线垂直,角度误差不应大于2.5°。保温管件外护管的材质应与直管段外护管相同,厚度不应小于直管段外护管的厚度。
3.1.9 保温管道工程宜设置泄漏监测系统,泄漏监测系统应与管网同时设计、施工及验收。当管网设计发生变更时,应同时进行泄漏监测系统的设计变更。
3 保温管及管件
3.1 一般规定
3.1.1 保温管及管件应为工作管、保温层、外护管为一体的工厂预制的产品。
3.1.2 在设计温度下和使用年限内,保温管和管件的保温结构不得损坏,保温管的最小轴向剪切强度不应小于0.08MPa。
3.1.3 当工作管使用钢管、外护管使用高密度聚乙烯、保温材料使用硬质聚氨酯泡沫塑料时,保温管及管件应符合现行国家标准《高密度聚乙烯外护管硬质聚氨酯泡沫塑料预制直埋保温管及管件》GB/T 29047的相关规定;当工作管使用钢管、外护管使用玻璃钢、保温材料使用硬质聚氨酯泡沫塑料时,保温管应符合现行行业标准《玻璃纤维增强塑料外护层聚氨酯泡沫塑料预制直埋保温管》CJ/T 129的相关规定。
3.1.4 工作管弯头可采用锻造、热煨或冷弯制成,不得使用由直管段做成的斜接缝弯头。弯头的最小壁厚不得小于直管段壁厚。
3.1.5 工作管三通宜采用锻压、拔制制成。三通主管和支管任意点的壁厚不应小于对应焊接的直管壁厚。
3.1.6 工作管异径管应采用同心异径管,异径管圆锥角不应大于20°。异径管壁厚不应小于直管道的壁厚。
3.1.7 保温层厚度应符合设计规定,并应保证运行时外护管表面温度小于50℃。
3.1.8 外护管两端应切割平整,并应与外护管轴线垂直,角度误差不应大于2.5°。保温管件外护管的材质应与直管段外护管相同,厚度不应小于直管段外护管的厚度。
3.1.9 保温管道工程宜设置泄漏监测系统,泄漏监测系统应与管网同时设计、施工及验收。当管网设计发生变更时,应同时进行泄漏监测系统的设计变更。
3.2 保温计算
3.2.1 直埋保温管的保温厚度应符合下列规定:
1 保温层外表面温度应进行验算,且应小于50℃;
2 当直埋保温管周围设施或环境条件对温度有要求时,应对温度场进行验算。
3.2.2 计算保温层厚度时选用的自然地温数据,可按本规程附录A选取。
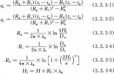
3.2.3 管道的热损失应按下列公式计算:

式中:qs——供水管单位长度热损失(W/m);
qr——回水管单位长度热损失(W/m);
ts——计算供水温度(℃);
tr——计算回水温度(℃);
tg——管道中心线的自然地温(℃);
Rg——土壤热阻[(m·K)/W];
Rt——保温材料热阻[(m·K)/W]
Rh——附加热阻[(m·K)/W];
R0——土壤表面换热热阻,可取0.0685[(m2·K)/W];
λg——土壤导热系数[W/(m·K)],应取实测数据。估算时湿土可取1.5~2W/(m·K),干沙可取1W/(m·K);
λt——保温材料在运行温度下的导热系数[W/(m·K)];
H——管道中心线覆土深度(m);
Hl——管道当量覆土深度(m);
Dw——保温层外径(m);
Do——工作管外径(m);
e——供、回水管中心线距离(m)。
3.2.4 保温层外表面温度应按下式计算:
tws=ts-qs×Rt (3.2.4-1)
twr=tr-qr×Rt (3.2.4-2)
式中:tws——供水管保温层外表面温度(℃);
twr——回水管保温层外表面温度(℃);
qs——供水管单位长度热损失(W/m);
qr——回水管单位长度热损失(W/m);
ts——计算供水温度(℃);
tr——计算回水温度(℃);
Rt——保温材料热阻[(m·K)/W]。
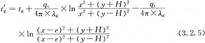
3.2.5 保温管周围土壤温度可按下式计算:

式中:t′g——计算点的土壤温度(℃);
tg——管道中心线的自然地温(℃);
qs——供水管单位长度热损失(W/m);
qr——回水管单位长度热损失(W/m);
λg——土壤导热系数[W/(m·K)];
x——计算点与供水管中心线的水平距离;
y——计算点的覆土深度;
H——管道中心线覆土深度(m);
e——供、回水管中心线距离(m)。
4 管道布置与敷设
4.1 管道布置
4.1.1 管道的布置应符合现行行业标准《城镇供热管网设计规范》CJJ 34的相关规定。
4.1.2 直埋热水管道与设施的净距应符合表4.1.2的规定:
表4.1.2 直埋热水管道与设施的净距


4.1.3 直埋热水管道的最小覆土深度应符合表4.1.3的规定,同时应进行稳定验算。
表4.1.3 直埋热水管道的最小覆土深度

4.1.4 管道穿越水面的布置应符合现行行业标准《城镇供热管网设计规范》CJJ 34的相关规定。
4 管道布置与敷设
4.1 管道布置
4.1.1 管道的布置应符合现行行业标准《城镇供热管网设计规范》CJJ 34的相关规定。
4.1.2 直埋热水管道与设施的净距应符合表4.1.2的规定:
表4.1.2 直埋热水管道与设施的净距


4.1.3 直埋热水管道的最小覆土深度应符合表4.1.3的规定,同时应进行稳定验算。
表4.1.3 直埋热水管道的最小覆土深度

4.1.4 管道穿越水面的布置应符合现行行业标准《城镇供热管网设计规范》CJJ 34的相关规定。
4.2 管道敷设
4.2.1 管道的敷设坡度不宜小于2‰,进入建筑物的管道宜坡向干管。管道的高处宜设放气阀,低处宜设放水阀。直接埋地的放气管、放水管与管道有相对位移处应采取保护措施。
4.2.2 管道应利用转角自然补偿。
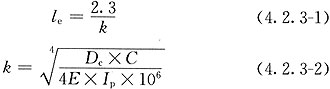
4.2.3 转角管段的臂长应大于或等于弯头变形段长度。弯头变形段长度应按下列公式计算:

式中:le——弯头变形段长度(m);
k——与土壤特性和管道刚度有关的参数(1/m);
Dc——外护管外径(m);
C——土壤横向压缩反力系数(N/m3);
E——钢材的弹性模量(MPa);
Ip——直管工作管横截面的惯性矩(m4)。
4.2.4 “Z”形、“П”形补偿管段可分割成两个转角管段,每个转角管段的臂长均应大于或等于管道的弯头变形段长度(图4.2.4)。

4.2.5 管道小角度折角不大于表4.2.5的规定时,可视为直管段。
表4.2.5 可视为直管段的最大折角

4.2.6 管道的折角β大于本规程表4.2.5的规定时,可采取下列处理措施:
1 采用弯管(图4.2.6-a);

2 将大折角β分解为几个小折角α(图4.2.6-b);
3 串联2个弯头,将大折角β转化为“Z”形管段(图4.2.6-c);
4 串联4个弯头,将大折角β转化为“П”形管段(图4.2.6-d);
5 一个小折角α串联一个弯头,取代大折角β(图4.2.6-e);
6 串联3个弯头,将大折角β分解为2个“L”形管段(图4.2.6-f);
7 串联4个弯头,将大折角β分解为“Z”形和“L”形管段(图4.2.6-g)。
4.2.7 直埋管道分支点干管的轴向热位移量不宜大于50mm。
4.2.8 公称直径小于或等于500mm的支管可从干管直接引出,在支管上应设固定墩或轴向补偿器或弯管补偿器,并应符合下列规定:
1 分支点至支管上固定墩的距离不宜大于9m;
2 分支点至支管上轴向补偿器或弯管的距离不宜大于20m;
3 分支点至支管上固定墩或弯管补偿器的距离不应小于支管的弯头变形段长度;
4 分支点至支管上轴向补偿器的距离不应小于12m。
4.2.9 轴向补偿器和管道轴线应一致,轴向补偿器与分支点、转角、变坡点的距离不应小于管道弯头变形段长度的1.5倍,且不应小于12m。
4.3 管道附件与设施
4.3.1 管道附件与设施的布置和敷设应符合现行行业标准《城镇供热管网设计规范》CJJ 34的相关规定。
4.3.2 阀门应采用能承受管道轴向荷载的钢制焊接阀门。
4.3.3 补偿器、异径管等管道附件应采用焊接连接,补偿器宜设在检查室内。
4.3.4 当管道由直埋敷设转至其他敷设方式,或进入检查室时,直埋保温管保温层的端头应封闭。
4.3.5 异径管或壁厚变化处,应设补偿器或固定墩,固定墩应设在大管径或壁厚较大一侧。
4.3.6 三通、弯头等应力比较集中的部位应进行验算,不能满足要求时,可采取设置固定墩或补偿器等保护措施。
4.3.7 当需要减小管道对固定墩的推力时,可采取设置补偿器或对管道进行预热处理等措施。
4.3.8 固定墩处应采取防腐绝缘措施,钢管、钢架不应裸露。
5 管道应力验算
5.1 一般规定
5.1.1 管道的应力验算应采用应力分类法,并应符合下列规定:
1 一次应力的当量应力不应大于钢材的许用应力;
2 一次应力和二次应力的当量应力变化范围不应大于3倍钢材的许用应力;
3 局部应力集中部位的一次应力、二次应力和峰值应力的当量应力变化幅度不应大于3倍钢材的许用应力。
5.1.2 进行管道应力计算时,计算参数应按下列规定取值:
1 计算压力应取管道设计压力;
2 工作循环最高温度应取供热管网设计供水温度;
3 工作循环最低温度,对于全年运行的管道应取30℃,对于只在采暖期运行的管道应取10℃;
4 计算安装温度应取安装时的最低温度;
5 计算应力变化范围时,计算温差应采用工作循环最高温度与工作循环最低温度之差;
6 计算轴向力时,计算温差应采用工作循环最高温度与计算安装温度之差。
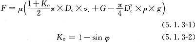
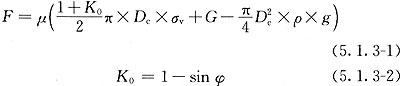
5.1.3 保温管与土壤之间的单位长度摩擦力应按下式计算:

式中:F——单位长度摩擦力(N/m);
μ——摩擦系数;
Dc——外护管外径(m);
σv——管道中心线处土壤应力(Pa);
G——包括介质在内的保温管单位长度自重(N/m);
ρ——土密度(kg/m3),可取1800kg/m3;
g——重力加速度(m/s2);
K0——土壤静压力系数;
φ——回填土内摩擦角(°),砂土可取30°。
5.1.4 土壤应力应按下列公式计算:
1 当管道中心线位于地下水位以上时的土壤应力:
σv=ρ×g×H (5.1.4-1)
式中:σv——管道中心线处土壤应力(Pa);
ρ——土密度(kg/m3),可取1800kg/m3;
g——重力加速度(m/s2);
H——管道中心线覆土深度(m);
2 当管道中心线位于地下水位以下时的土壤应力:
σv=ρ×g×Hw+ρsw×g(H-Hw) (5.1.4-2)
式中:ρsw——地下水位线以下的土壤有效密度(kg/m3),可取1000kg/m3;
Hw——地下水位线深度(m)。
5.1.5 保温管与土壤间的摩擦系数应根据回填条件确定,可按表5.1.5采用。
表5.1.5 保温管外壳与土壤间的摩擦系数
回填料
摩擦系数
最大摩擦系数μmax
最小摩擦系数μmin
中砂
0.40
0.20
粉质黏土或砂质粉土
0.40
0.15
5.1.6 管道径向位移时,土壤横向压缩反力系数宜根据当地土壤情况实测数据确定,当无实测数据时,可按下列规定确定:
1 管道水平位移时,可按1×106N/m3~10×106N/m3取值;
2 管道水平位移,对于粉质黏土、砂质粉土,回填密实度为90%~95%时,可按3×106N/m3~4×106N/m3取值;
3 管道竖向向下位移时,可按5×106N/m3~100×106N/m3取值。
5.1.7 钢材的许用应力应根据钢材有关特性,取下列两式中的较小值:

式中:[σ]——钢材的许用应力(MPa);
σb——钢材的抗拉强度最小值(MPa);
σs——钢材的屈服极限最小值(MPa)。
5 管道应力验算
5.1 一般规定
5.1.1 管道的应力验算应采用应力分类法,并应符合下列规定:
1 一次应力的当量应力不应大于钢材的许用应力;
2 一次应力和二次应力的当量应力变化范围不应大于3倍钢材的许用应力;
3 局部应力集中部位的一次应力、二次应力和峰值应力的当量应力变化幅度不应大于3倍钢材的许用应力。
5.1.2 进行管道应力计算时,计算参数应按下列规定取值:
1 计算压力应取管道设计压力;
2 工作循环最高温度应取供热管网设计供水温度;
3 工作循环最低温度,对于全年运行的管道应取30℃,对于只在采暖期运行的管道应取10℃;
4 计算安装温度应取安装时的最低温度;
5 计算应力变化范围时,计算温差应采用工作循环最高温度与工作循环最低温度之差;
6 计算轴向力时,计算温差应采用工作循环最高温度与计算安装温度之差。
5.1.3 保温管与土壤之间的单位长度摩擦力应按下式计算:

式中:F——单位长度摩擦力(N/m);
μ——摩擦系数;
Dc——外护管外径(m);
σv——管道中心线处土壤应力(Pa);
G——包括介质在内的保温管单位长度自重(N/m);
ρ——土密度(kg/m3),可取1800kg/m3;
g——重力加速度(m/s2);
K0——土壤静压力系数;
φ——回填土内摩擦角(°),砂土可取30°。
5.1.4 土壤应力应按下列公式计算:
1 当管道中心线位于地下水位以上时的土壤应力:
σv=ρ×g×H (5.1.4-1)
式中:σv——管道中心线处土壤应力(Pa);
ρ——土密度(kg/m3),可取1800kg/m3;
g——重力加速度(m/s2);
H——管道中心线覆土深度(m);
2 当管道中心线位于地下水位以下时的土壤应力:
σv=ρ×g×Hw+ρsw×g(H-Hw) (5.1.4-2)
式中:ρsw——地下水位线以下的土壤有效密度(kg/m3),可取1000kg/m3;
Hw——地下水位线深度(m)。
5.1.5 保温管与土壤间的摩擦系数应根据回填条件确定,可按表5.1.5采用。
表5.1.5 保温管外壳与土壤间的摩擦系数
回填料
摩擦系数
最大摩擦系数μmax
最小摩擦系数μmin
中砂
0.40
0.20
粉质黏土或砂质粉土
0.40
0.15
5.1.6 管道径向位移时,土壤横向压缩反力系数宜根据当地土壤情况实测数据确定,当无实测数据时,可按下列规定确定:
1 管道水平位移时,可按1×106N/m3~10×106N/m3取值;
2 管道水平位移,对于粉质黏土、砂质粉土,回填密实度为90%~95%时,可按3×106N/m3~4×106N/m3取值;
3 管道竖向向下位移时,可按5×106N/m3~100×106N/m3取值。
5.1.7 钢材的许用应力应根据钢材有关特性,取下列两式中的较小值:

式中:[σ]——钢材的许用应力(MPa);
σb——钢材的抗拉强度最小值(MPa);
σs——钢材的屈服极限最小值(MPa)。
5.2 管壁厚度计算
5.2.1 工作管的最小壁厚应按下式计算:

式中:δm——工作管最小壁厚(m);
Pd——管道计算压力(MPa);
Do——工作管外径(m);
[σ]——钢材的许用应力(MPa);
η——许用应力修正系数,无缝钢管取1.0,螺旋焊缝钢管可取0.9;
Y——温度修正系数,可取0.4。
5.2.2 工作管的公称壁厚应按下式确定:
δ≥δm+B (5.2.2)
式中:δ——工作管公称壁厚(m);
δm——工作管最小壁厚(m);
B——管道壁厚负偏差附加值(m)。
5.2.3 管道壁厚负偏差附加值,应根据管道产品技术条件的规定选用,或按下列方法确定:
1 钢管壁厚负偏差附加值可按下式计算:
B=χ×δm (5.2.3)
式中:B——管道壁厚负偏差附加值(m);
δm——工作管最小壁厚(m);
χ——管道壁厚负偏差系数,可按表5.2.3选取。
表5.2.3 管道壁厚负偏差系数
管道壁厚偏差(%)
0
-5
-8
-9
-10
-11
-12.5
-15
管道壁厚负偏差系数
0.050
0.053
0.087
0.099
0.111
0.124
0.143
0.176
2 当焊接钢管产品技术条件中未提供壁厚允许负偏差值时,壁厚负偏差附加值可采用钢板厚度的负偏差值,但壁厚负偏差附加值不得小于0.5mm。
5.3 直管段应力验算
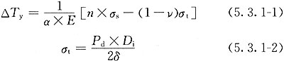
5.3.1 工作管的屈服温差应按下列公式计算:

式中:ΔTy——工作管屈服温差(℃);
α——钢材的线膨胀系数[m/(m·℃)];
E——钢材的弹性模量(MPa);
n——屈服极限增强系数,取1.3;
σs——钢材的屈服极限最小值(MPa);
υ——钢材的泊松系数,取0.3;
σt——管道内压引起的环向应力(MPa);
Pd——管道计算压力(MPa);
Di——工作管内径(m);
δ——工作管公称壁厚(m)。
5.3.2 直管段的过渡段长度应按下列公式计算:
1 直管段过渡段最大长度:

当t1-t0>ΔTy时,取t1-t0=ΔTy。
2 直管段过渡段最小长度:

当t1-t0>ΔTy时,取t1-t0=ΔTy。
式中:Lmax——直管段的过渡段最大长度(m);
Lmin——直管段的过渡段最小长度(m);
Fmax——单位长度最大摩擦力(N/m);
Fmin——单位长度最小摩擦力(N/m);
α——钢材的线膨胀系数[m/(m·℃)];
E——钢材的弹性模量(MPa);
t1——管道工作循环最高温度(℃);
t0——管道计算安装温度(℃);
υ——钢材的泊松系数,取0.3;
σt——管道内压引起的环向应力(MPa);
A——工作管管壁的横截面积(m2);
ΔTy——工作管屈服温差(℃)。
5.3.3 在管道工作循环最高温度下,过渡段内工作管任一截面上的最大轴向力和最小轴向力应按下列公式计算:
1 最大轴向力:
Nt·max=Fmax×L′+Ff (5.3.3-1)
当L′≥Lmin时,取L′=Lmin。
2 最小轴向力:
Nt·min=Fmin×L′+Ff (5.3.3-2)
式中:Nt·max——过渡段内计算截面的最大轴向力(N);
Nt·min——过渡段内计算截面的最小轴向力(N);
Fmax——单位长度最大摩擦力(N/m);
Fmin——单位长度最小摩擦力(N/m);
L′——过渡段内计算截面距活动端的距离(m);
Ff——活动端对管道伸缩的阻力(N);
Lmin——直管段的过渡段最小长度(m)。
5.3.4 在管道工作循环最高温度下,锚固段内的轴向力应按下式计算:
Na=[α×E(t1-t0)-υσt]A×106 (5.3.4)
当t1-t0>ΔTy时,取t1-t0=ΔTy。
式中:Na——锚固段的轴向力(N);
α——钢材的线膨胀系数[m/(m·℃)];
E——钢材的弹性模量(MPa);
t1——管道工作最高循环温度(℃);
t0——管道计算安装温度(℃);
υ——钢材的泊松系数,取0.3;
σt——管道内压引起的环向应力(MPa);
A——工作管管壁的横截面积(m2)。
5.3.5 对工作管直管段的当量应力变化范围应进行验算,并应符合下列规定:
1 当量应力变化范围应按下式计算:
σj=(1-υ)σt+α×E(t1-t2)≤3[σ] (5.3.5-1)
式中:σj——内压、热胀应力的当量应力变化范围(MPa);
υ——钢材的泊松系数,取0.3;
σt——管道内压引起的环向应力(MPa);
α——钢材的线膨胀系数[m/(m·℃)];
E——钢材的弹性模量(MPa);
t1——管道工作循环最高温度(℃);
t2——管道工作循环最低温度(℃);
[σ]——钢材的许用应力(MPa)。
2 当不能满足公式(5.3.5-1)时,管系设计时不应布置锚固段,且过渡段长度应按下式计算:

式中:L——设计布置的过渡段长度(m);
[σ]——钢材的许用应力(MPa);
σt——管道内压引起的环向应力(MPa);
A——工作管管壁的横截面积(m2);
Fmax——单位长度最大摩擦力(N)。
5.4 直管段局部稳定性验算
5.4.1 对由于土壤摩擦力约束热胀变形或局部沉降造成的高内力的直管段,不得出现局部屈曲、弯曲屈曲和皱折。
5.4.2 公称直径大于500mm的管道应进行局部稳定性验算,并应符合下式计算规定:

式中:Do——工作管外径(m);
δ——工作管公称壁厚(m);
α——钢材的线膨胀系数[m/(m·℃)];
E——钢材的弹性模量(MPa);
t1——管道工作循环最高温度(℃);
t0——管道计算安装温度(℃);
υ——钢材的泊松系数,取0.3;
Pd——管道计算压力(MPa)。
5.4.3 对于承受较大静土压和机动车动土压的管道不得出现径向失稳。
5.4.4 公称直径大于500mm的管道应按下列公式进行径向稳定性验算:

式中:ΔX——工作管径向最大变形量(m);
W——管顶单位面积上总垂直荷载(kPa),包括管顶垂直土荷载和地面车辆传递到钢管上的荷载,直埋管道管顶单位面积上总垂直荷载应符合表5.4.4的规定;
Do——工作管外径(m);
E——钢材的弹性模量(kPa);
δ——工作管公称壁厚(m);
r——工作管平均半径(m)。
表5.4.4 直埋管道管顶单位面积上总垂直荷载
管顶覆土深度(m)
管顶单位面积上总垂直荷载(kPa)
1.3
62
1.4
60
1.5
58
1.6
56
5.5 管件应力验算
5.5.1 弯头的升温弯矩及轴向力可采用有限元法计算或按本规程附录C的规定计算。
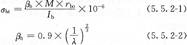
5.5.2 弯头工作管在弯矩作用下的最大环向应力变化幅度应按下列公式计算:


式中:σbt——弯头在弯矩作用下最大环向应力变化幅度(MPa);
βb——弯头平面弯曲环向应力加强系数;
M——弯头的弯矩变化范围(N·m);
rbo——弯头工作管横截面的外半径(m);
rbm——弯头工作管横截面的平均半径(m);
Ib——弯头工作管横截面的惯性矩(m4);
λ——弯头工作管的尺寸系数;
R——弯头的曲率半径(m);
δb——弯头工作管的公称壁厚(m)。
5.5.3 弯头工作管的强度验算应符合下列表达式:

式中:σbt——弯头在弯矩作用下最大环向应力变化幅度(MPa);
σpt——弯头在内压作用下的最大环向应力(MPa);
[σ]——钢材的许用应力(MPa);
Pd——管道计算压力(MPa);
rbi——弯头工作管横截面的内半径(m);
δb——弯头工作管的公称壁厚(m)。
5.5.4 三通等管件工作管应根据内压和主管轴向荷载联合作用进行强度验算,应采用应力测定或有限元法进行疲劳分析,当不能满足应力验算条件时应进行加固。
5.5.5 三通工作管加固应采取下列一项或几项措施:
1 加大主管壁厚,提高三通总体强度(包括采用不等壁厚的锻钢三通);
2 在开孔区采取加固措施(包括增加支管壁厚),抑制三通开孔区的变形;
3 在开孔区周围加设传递轴向荷载的结构。
5.6 管道竖向稳定性验算
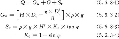
5.6.1 直管段上的垂直荷载应符合下式:

式中:Q——作用在单位长度管道上的垂直分布荷载(N/m);
γs——安全系数,取1.1;
Np·max——管道的最大轴向力(N),按本规程(5.3.3-1)式或(5.3.4)式计算;
ƒo——初始挠度(m);
E——钢材的弹性模量(MPa);
Ip——直管工作管横截面的惯性矩(m4)。
5.6.2 初始挠度应按下式计算:

当ƒo<0.01m时,ƒo取0.01m。
式中:ƒo——初始挠度(m);
E——钢材的弹性模量(MPa);
Ip——直管工作管横截面的惯性矩(m4);
Np·max——管道的最大轴向力(N),按本规程(5.3.3-1)式或(5.3.4)式计算。
5.6.3 垂直荷载应按下列公式计算:

式中:Q——作用在单位长度管道上的垂直分布荷载(N/m);
GW——单位长度管道上方的土层重量(N/m);
G——包括介质在内的保温管单位长度自重(N/m);
SF——单位长度管道上方土体的剪切力(N/m);
H——管道中心线覆土深度(m);
Dc——外护管外径(m);
ρ——土密度(kg/m3),可取1800kg/m3;
g——重力加速度(m/s2);
K0——土壤静压力系数;
φ——回填土内摩擦角(°),砂土可取30°。
5.6.4 当竖向稳定性不满足要求时,应采取下列措施:
1 增加管道覆土深度或管道上方荷载;
2 降低管道轴向力。
5.7 热伸长计算
5.7.1 两过渡段间驻点位置Z(图5.7.1)应按下式计算:

式中:la、lb——分别为驻点两侧过渡段长度(m);
Fa、Fb——分别为驻点两侧活动端对管道伸缩的阻力(N),当Fa或Fb的数值与过渡段长度有关,采用迭代计算时,Fa或Fb的误差不应大于10%;
Fmin——管道单位长度最小摩擦力(N/m)。

5.7.2 管段伸长量应根据该管段所处的应力状态按下列公式计算:
1 当t1-t0≤ΔTy或l≤Lmin,整个过渡段处于弹性状态工作时:

2 当t1-t0>ΔTy,且l>Lmin,管段中部分进入塑性状态工作时:

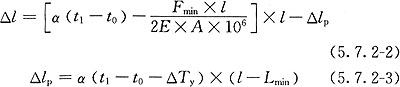
式中:Δl——管段的热伸长量(m);
Δlp——过渡段的塑性压缩变形量(m);
α——钢材的线膨胀系数[m/(m·℃)];
t0——管道计算安装温度(℃);
t1——管道工作循环最高温度(℃);
Fmin——管道单位长度最小摩擦力(N/m);
E——钢材的弹性模量(MPa);
A——工作管管壁的横截面积(m2);
ΔTy——工作管屈服温差(℃);
Lmin——直管段的过渡段最小长度(m);
Lmax——直管段的过渡段最大长度(m);
l——设计布置的管段长度(m),当l≥Lmax时,取l=Lmax。
5.7.3 过渡段内任一计算点的热位移应按下列公式计算:
Δld=Δl-Δla (5.7.3)
式中:Δld——计算截面的热位移量(m);
Δl——管段的热伸长量(m),按式(5.7.2)计算;
Δla——假设过渡段的热伸长量(m),按式(5.7.2)计算,式中l取计算点到活动端的距离。
5.7.4 采用套筒、波纹管、球形等补偿器对过渡段的热伸长或分支三通热位移进行补偿时,选用补偿器的补偿能力应符合下列规定:
1 当过渡段的一端为固定点或锚固点时,补偿器补偿能力不应小于计算热伸长量(或热位移量)的1.1倍;
2 当过渡段的一端为驻点时,补偿器补偿能力不应小于计算热伸长量(或热位移量)的1.2倍,但不应大于按过渡段最大长度计算出的热伸长量的1.1倍。
6 固定墩设计
6.1 管道对固定墩和固定支架的作用
6.1.1 管道对固定墩、固定支架的作用力应包括下列三个力:
1 管道热胀冷缩受到土壤约束产生的作用力;
2 内压产生的不平衡力;
3 活动端位移产生的作用力。
6.1.2 管道作用于固定墩、固定支架两侧作用力的合成应遵循下列原则:
1 合成力应是其两侧管道单侧作用力的矢量和;
2 根据两侧管段摩擦力下降造成的轴向力变化的差异,应按最不利情况进行合成;
3 两侧管段由热胀受约束引起的作用力和活动端作用力的合力相互抵消时,荷载较小方向力应乘以0.8的抵消系数;
4 当两侧管段均为锚固段时,抵消系数应取0.9;
5 两侧内压不平衡力的抵消系数应取1.0。
6.1.3 固定墩、固定支架承受的推力可按本规程附录D所列公式计算或采用计算不同摩擦力工况下两侧推力(考虑抵消系数)最大差值的方法确定。
6.1.4 当允许固定墩微量位移时,固定墩承受的推力减小值应按下列公式确定:
1 一端为锚固段,另一端为过渡段:

式中:T′——固定墩承受的推力减小值(kN);
Δl′——固定墩微量位移量(m),可取5mm~20mm;
Fmin——单位长度最小摩擦力(N/m);
E——钢材的弹性模量(MPa);
A——工作管管壁的横截面积(m2)。
2 当两端均为过渡段:

6 固定墩设计
6.1 管道对固定墩和固定支架的作用
6.1.1 管道对固定墩、固定支架的作用力应包括下列三个力:
1 管道热胀冷缩受到土壤约束产生的作用力;
2 内压产生的不平衡力;
3 活动端位移产生的作用力。
6.1.2 管道作用于固定墩、固定支架两侧作用力的合成应遵循下列原则:
1 合成力应是其两侧管道单侧作用力的矢量和;
2 根据两侧管段摩擦力下降造成的轴向力变化的差异,应按最不利情况进行合成;
3 两侧管段由热胀受约束引起的作用力和活动端作用力的合力相互抵消时,荷载较小方向力应乘以0.8的抵消系数;
4 当两侧管段均为锚固段时,抵消系数应取0.9;
5 两侧内压不平衡力的抵消系数应取1.0。
6.1.3 固定墩、固定支架承受的推力可按本规程附录D所列公式计算或采用计算不同摩擦力工况下两侧推力(考虑抵消系数)最大差值的方法确定。
6.1.4 当允许固定墩微量位移时,固定墩承受的推力减小值应按下列公式确定:
1 一端为锚固段,另一端为过渡段:

式中:T′——固定墩承受的推力减小值(kN);
Δl′——固定墩微量位移量(m),可取5mm~20mm;
Fmin——单位长度最小摩擦力(N/m);
E——钢材的弹性模量(MPa);
A——工作管管壁的横截面积(m2)。
2 当两端均为过渡段:

6.2 固定墩结构
6.2.1 固定墩应进行抗滑移和抗倾覆的稳定性验算(图6.2.1)。
1 抗滑移验算可按下式计算:

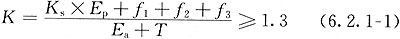
式中:K——抗滑移系数;
Ks——被动土压力折减系数,无位移取0.8~0.9;小位移取0.4~0.7;
Ep——被动土压力(N);
Ea——主动土压力(N);
ƒ1、ƒ2、ƒ3——固定墩底面、侧面及顶面与土壤的摩擦力(N);
T——固定墩承受的推力(N)。
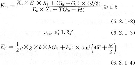
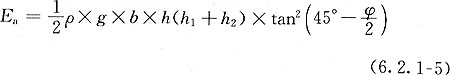
2 抗倾覆验算可按下式计算:


式中:Kov——抗倾覆系数;
X2——被动土压力Ep作用点至固定墩底面的距离(m);
X1——主动土压力Ea作用点至固定墩底面的距离(m);
Gg——固定墩自重(N);
G1——固定墩上部覆土重(N);
σmax——固定墩底面对土壤的最大压应力(Pa);
ƒ——地基承载力设计值(Pa);
b、d、h——固定墩宽、厚、高尺寸(m);
h1——固定墩顶面至地面的距离(m);
h2——固定墩底面至地面的距离(m);
H——管道中心线覆土深度(m);
ρ——土密度(kg/m3),可取1800;
g——重力加速度(m/s2);
φ——回填土内摩擦角(°),砂土取30°。

6.2.2 回填土与固定墩的摩擦系数应按表6.2.2选取。
表6.2.2 回填土与固定墩的摩擦系数

6.2.3 固定墩的强度及配筋计算应根据受力特点按现行国家标准《混凝土结构设计规范》GB 50010的相关规定执行。
6.2.4 固定墩应采用钢筋混凝土材料结构,并应符合下列规定:
1 混凝土强度等级不应低于C30;
2 钢筋应采用HPB300、HRB335,直径不应小于10mm;
3 钢筋应采用双层布置,保护层不应小于40mm,钢筋间距不应大于250mm;
4 当地下水对钢筋混凝土有腐蚀作用时,应按现行国家标准《工业建筑防腐蚀设计规范》GB 50046的规定对固定墩进行防腐处理。
6.2.5 供热管道穿过固定墩处,除管道固定节两边应设置抗挤压加强筋外,对于局部混凝土高热区应采取隔热或耐热措施。
7 管道施工与验收
7.1 施 工
7.1.1 管道工程的施工单位应具有相应的施工资质。
7.1.2 施工现场管理应有施工安全、技术、质量标准,健全的安全、技术、质量管理体系和制度。
7.1.3 施工中应执行设计文件的规定,需要变更设计时应按有关规定执行,未经审批的设计变更严禁施工。
7.1.4 施工前应按设计要求对管线进行平面位置和高程测量,并应符合现行行业标准《城市测量规范》CJJ/T 8和《城镇供热管网工程施工及验收规范》CJJ 28的相关规定。
7.1.5 施工前,施工单位应会同建设、监理等单位,核对管道路由、相关地下管道以及构筑物的资料,必要时应局部开挖核实。
7.1.6 管道穿越其他市政设施时,应对其采取保护措施,并应征得产权单位的同意。
7.1.7 在地下水位较高的地区或雨季施工时,应采取降低水位或排水措施,并应及时清除沟内积水。
7.1.8 在沿车行道、人行道施工时,应在管沟沿线设置安全护栏,并应设置明显的警示标志。施工现场夜间应设置安全照明、警示灯和具有反光功能的警示标志。
7.1.9 直埋保温管和管件应采用工厂预制的产品。直埋保温管和管路附件应符合现行的国家有关产品标准,并应具有生产厂质量检验部门的产品合格文件。
7.1.10 管道及管路附件在入库和进入施工现场安装前应进行检查,其材质、规格、型号应符合设计文件和合同的规定,并应进行外观检查。当对外观质量有异议或设计文件有要求时,应进行质量检验,不合格者不得使用。
7.1.11 土方开挖及回填应按现行行业标准《城镇供热管网工程施工及验收规范》CJJ 28的相关规定执行,并应符合下列规定:
1 土方开挖中发现地下管线或构筑物时,应与有关单位协商,并应采取保护措施;
2 管沟沟底宽度和工作坑尺寸应根据现场实际情况确定,设计未规定时,可按下列规定执行:
1)槽底宽度可按下式确定:
a=2Dc+s+2c (7.1.11)
式中:a——沟槽底宽度(m);
Dc——外护管外径(m);
s——两管道之间的净距(m),取0.25~0.4;
c——安装工作宽度(m),取0.1~0.2。
2)管道接头处工作坑的沟槽壁或侧面支承与直埋管道的净距不宜小于0.6m,工作坑的沟槽底面与直埋管道的净距不应小于0.5m。
3 沟槽边坡和支承应符合现行国家标准《土方与爆破工程施工及验收规范》GB 50201的相关规定;
4 沟槽一侧或两侧临时堆土位置和高度不得影响边坡的稳定性和管道安装。
7.1.12 在有限空间内作业应制定实施方案,作业前应进行气体检测,合格后方可进行现场作业。作业时地面上应有监护人员,并应保持联络畅通。
7.1.13 管道及管路附件安装应按现行行业标准《城镇供热管网工程施工及验收规范》CJJ 28的相关规定执行,并应符合下列规定:
1 同一施工段的等径直管段宜采用相同厂家、相同规格和性能的预制保温管、管件及保温接头。当无法满足时,应征得设计单位的同意;
2 当直埋保温管采用预热安装时,应以一个预热伸长段作为一个施工分段,并应符合本规程附录E的规定;
3 安装至回填前,管沟内不应有积水。当日工程完工时,应对未安装完成的管端采取临时封堵措施,并应对裸露的保温层进行封端防水处理;
4 管道安装坡度应与设计要求一致。在管道安装过程中出现折角或管道折角大于设计值时,应与设计单位确认后再进行安装;
5 焊缝内部质量检验应采用射线探伤,当不能采用射线探伤时,应经质检部门同意后,方可采用超声波探伤。焊缝内部质量检验数量应符合下列规定:
1)管道公称直径大于或等于400mm、设计温度大于或等于100℃、压力大于1.0MPa,焊缝应进行100%焊缝内部质量检验;
2)对穿越铁路、公路、河流、桥梁、有轨电车及非开挖敷设的直埋管道,焊缝应进行100%焊缝内部质量检验;
3)对于抽查的焊缝,抽查数量不应少于焊缝总数的25%,且每个焊工不应少于1个焊缝。抽查时,应侧重抽查固定焊口。
6 带泄漏监测系统的保温管的安装还应符合下列规定:
1)信号线的位置应在管道的上方,相同颜色的信号线应对齐;
2)工作钢管焊接前应测试信号线的通断状况和电阻值,合格后方可对口焊接。
7 接头保温应符合下列规定:
1)接头保温应在工作钢管安装完毕及焊缝检测合格、强度试验合格后进行;
2)管道接头使用聚氨酯发泡时,环境温度宜为25℃,且不应低于10℃;管道温度不应超过50℃。
3)接头保温的结构、保温材料的材质及厚度应与预制保温管相同;
4)保温管的保温层被水浸泡后,应清除被浸湿的保温材料方可进行接头保温;
5)接头外护层与其两侧的保温管外护管的搭接长度不应小于100mm。接口时,外护层和工作钢管表面应洁净干燥。如因雨水、受潮或结露而使外护层或工作钢管潮湿时,应进行加热烘干处理。
8 接头外护层安装完成后,应进行100%的气密性检验。
9 施工过程中应对保温管的保温层采取防潮措施,保温层不得进水或受潮。
7.1.14 固定墩、固定支架施工应符合下列规定:
1 固定墩预制件的几何尺寸、焊接质量及隔热层、防腐层应满足设计要求。在固定墩浇注混凝土前应检查与混凝土接触部位的防腐层是否完好,如有损坏应进行修补。
2 固定墩、固定支架的混凝土强度应达到设计强度并回填后,方可进行管道整体压力试验和试运行。
7 管道施工与验收
7.1 施 工
7.1.1 管道工程的施工单位应具有相应的施工资质。
7.1.2 施工现场管理应有施工安全、技术、质量标准,健全的安全、技术、质量管理体系和制度。
7.1.3 施工中应执行设计文件的规定,需要变更设计时应按有关规定执行,未经审批的设计变更严禁施工。
7.1.4 施工前应按设计要求对管线进行平面位置和高程测量,并应符合现行行业标准《城市测量规范》CJJ/T 8和《城镇供热管网工程施工及验收规范》CJJ 28的相关规定。
7.1.5 施工前,施工单位应会同建设、监理等单位,核对管道路由、相关地下管道以及构筑物的资料,必要时应局部开挖核实。
7.1.6 管道穿越其他市政设施时,应对其采取保护措施,并应征得产权单位的同意。
7.1.7 在地下水位较高的地区或雨季施工时,应采取降低水位或排水措施,并应及时清除沟内积水。
7.1.8 在沿车行道、人行道施工时,应在管沟沿线设置安全护栏,并应设置明显的警示标志。施工现场夜间应设置安全照明、警示灯和具有反光功能的警示标志。
7.1.9 直埋保温管和管件应采用工厂预制的产品。直埋保温管和管路附件应符合现行的国家有关产品标准,并应具有生产厂质量检验部门的产品合格文件。
7.1.10 管道及管路附件在入库和进入施工现场安装前应进行检查,其材质、规格、型号应符合设计文件和合同的规定,并应进行外观检查。当对外观质量有异议或设计文件有要求时,应进行质量检验,不合格者不得使用。
7.1.11 土方开挖及回填应按现行行业标准《城镇供热管网工程施工及验收规范》CJJ 28的相关规定执行,并应符合下列规定:
1 土方开挖中发现地下管线或构筑物时,应与有关单位协商,并应采取保护措施;
2 管沟沟底宽度和工作坑尺寸应根据现场实际情况确定,设计未规定时,可按下列规定执行:
1)槽底宽度可按下式确定:
a=2Dc+s+2c (7.1.11)
式中:a——沟槽底宽度(m);
Dc——外护管外径(m);
s——两管道之间的净距(m),取0.25~0.4;
c——安装工作宽度(m),取0.1~0.2。
2)管道接头处工作坑的沟槽壁或侧面支承与直埋管道的净距不宜小于0.6m,工作坑的沟槽底面与直埋管道的净距不应小于0.5m。
3 沟槽边坡和支承应符合现行国家标准《土方与爆破工程施工及验收规范》GB 50201的相关规定;
4 沟槽一侧或两侧临时堆土位置和高度不得影响边坡的稳定性和管道安装。
7.1.12 在有限空间内作业应制定实施方案,作业前应进行气体检测,合格后方可进行现场作业。作业时地面上应有监护人员,并应保持联络畅通。
7.1.13 管道及管路附件安装应按现行行业标准《城镇供热管网工程施工及验收规范》CJJ 28的相关规定执行,并应符合下列规定:
1 同一施工段的等径直管段宜采用相同厂家、相同规格和性能的预制保温管、管件及保温接头。当无法满足时,应征得设计单位的同意;
2 当直埋保温管采用预热安装时,应以一个预热伸长段作为一个施工分段,并应符合本规程附录E的规定;
3 安装至回填前,管沟内不应有积水。当日工程完工时,应对未安装完成的管端采取临时封堵措施,并应对裸露的保温层进行封端防水处理;
4 管道安装坡度应与设计要求一致。在管道安装过程中出现折角或管道折角大于设计值时,应与设计单位确认后再进行安装;
5 焊缝内部质量检验应采用射线探伤,当不能采用射线探伤时,应经质检部门同意后,方可采用超声波探伤。焊缝内部质量检验数量应符合下列规定:
1)管道公称直径大于或等于400mm、设计温度大于或等于100℃、压力大于1.0MPa,焊缝应进行100%焊缝内部质量检验;
2)对穿越铁路、公路、河流、桥梁、有轨电车及非开挖敷设的直埋管道,焊缝应进行100%焊缝内部质量检验;
3)对于抽查的焊缝,抽查数量不应少于焊缝总数的25%,且每个焊工不应少于1个焊缝。抽查时,应侧重抽查固定焊口。
6 带泄漏监测系统的保温管的安装还应符合下列规定:
1)信号线的位置应在管道的上方,相同颜色的信号线应对齐;
2)工作钢管焊接前应测试信号线的通断状况和电阻值,合格后方可对口焊接。
7 接头保温应符合下列规定:
1)接头保温应在工作钢管安装完毕及焊缝检测合格、强度试验合格后进行;
2)管道接头使用聚氨酯发泡时,环境温度宜为25℃,且不应低于10℃;管道温度不应超过50℃。
3)接头保温的结构、保温材料的材质及厚度应与预制保温管相同;
4)保温管的保温层被水浸泡后,应清除被浸湿的保温材料方可进行接头保温;
5)接头外护层与其两侧的保温管外护管的搭接长度不应小于100mm。接口时,外护层和工作钢管表面应洁净干燥。如因雨水、受潮或结露而使外护层或工作钢管潮湿时,应进行加热烘干处理。
8 接头外护层安装完成后,应进行100%的气密性检验。
9 施工过程中应对保温管的保温层采取防潮措施,保温层不得进水或受潮。
7.1.14 固定墩、固定支架施工应符合下列规定:
1 固定墩预制件的几何尺寸、焊接质量及隔热层、防腐层应满足设计要求。在固定墩浇注混凝土前应检查与混凝土接触部位的防腐层是否完好,如有损坏应进行修补。
2 固定墩、固定支架的混凝土强度应达到设计强度并回填后,方可进行管道整体压力试验和试运行。
7.2 管道试验和清洗
7.2.1 管道试验和清洗应符合现行行业标准《城镇供热管网工程施工及验收规范》CJJ 28的相关规定。
7.2.2 管道应进行压力试验、清洗。强度试验应在焊接完成、接头保温和安装设备前进行,严密性试验应在管道回填后进行。
7.2.3 压力试验和清洗应具备经建设单位、设计单位和监理单位批准的压力试验和清洗方案规定的条件。
7.2.4 压力试验和清洗前应划定安全区、设置安全标志。在整个试验和清洗过程中应有专人值守,无关人员不得进入试验区。
7.2.5 管道压力试验应符合下列规定:
1 管道压力试验的介质应采用干净水;
2 压力试验时环境温度不宜低于5℃,否则应采取防冻措施;
3 试验压力应符合设计规定。当设计未规定时,强度试验压力应为设计压力的1.5倍,严密性试验压力应为设计压力的1.25倍,且均不得低于0.6MPa;
4 当试验过程中发现渗漏时,严禁带压处理。消除缺陷后,应重新进行压力试验;
5 试验结束后,应及时排尽管道内的积水。
7.2.6 管道清洗应符合下列规定:
1 管道清洗宜采用清洁水;
2 不与管道同时清洗的设备、容器及仪表应与清洗管道隔离或拆除;
3 清洗进水管的截面积不应小于被清洗管截面积的50%,清洗排水管截面积不应小于进水管截面积,排放水应引入可靠的排水井或排水沟内;
4 管道清洗宜按主干线-支干线-支线顺序进行,排水时,不得形成负压;
5 管道清洗前应将管道充满水并浸泡,冲洗的水流方向应与设计介质流向一致;
6 管道清洗应连续进行,并应逐渐加大管内流量,管内平均流速不应低于1m/s;
7 管道清洗过程中应观察排出水的清洁度,当目测排水口的水色和透明度与入口水一致时,清洗合格。
7.2.7 管道试验和清洗完成后,应在分项工程、分部工程验收合格的基础上进行单位工程验收,并应符合现行行业标准《城镇供热管网工程施工及验收规范》CJJ 28的相关规定。
7.3 试 运 行
7.3.1 试运行应在单位工程验收合格,管道试验和清洗合格后,同时在热源具备供热条件情况下进行。
7.3.2 试运行前应编制试运行方案,对试运行各个阶段的任务、方法、步骤、指挥等各方面的协调配合及应急措施均应作详细的安排。在环境温度低于5℃时,应制定可靠的防冻措施。试运行方案应由建设单位、设计单位和监理单位审查同意并进行交底。
7.3.3 试运行应有完善、可靠的通信系统及其他安全保障措施。
7.3.4 试运行的实施应符合现行行业标准《城镇供热管网工程施工及验收规范》CJJ 28的相关规定。
7.3.5 当试运行期间发现不影响运行安全和试运行效果的问题时,可待试运行结束后进行处理,否则应停止试运行,并应在降温、降压后进行处理。
7.4 竣工验收
7.4.1 竣工验收应在单位工程验收和试运行合格后进行。
7.4.2 竣工验收应按《城镇供热管网工程施工及验收规范》CJJ 28的相关规定执行,验收还应包括下列内容:
1 管道轴线偏差;
2 管道地基处理、胸腔回填料、回填土高度和回填密实度;
3 回填前预制保温管外壳完好性;
4 预制保温管接口及报警线;
5 预制保温管与固定墩连接处防水防腐及检查室穿越口处理;
6 预拉预热伸长量、一次性补偿器预调整值及焊接线吻合程度;
7 防止管道失稳措施。
8 运行与维护
8.0.1 运行、维护应制定相应的管理制度、岗位责任制、安全操作规程、设施和设备维护保养手册及事故应急预案。
8.0.2 运行管理、操作和维护人员应掌握供热系统的运行、维护要求及技术指标,并应定期培训,考核合格后持证上岗。
8.0.3 在检查室等有限空间内的运行维护安全应符合下列规定:
1 作业应制定实施方案,作业前应进行危险气体和温度检测,合格后方可进入现场作业;
2 作业时应进行围挡,并应设置提示和安全标志,夜间进行操作检查时,还应设置警示灯;
3 严禁使用明火照明,照明用电电压不得大于24V。当有人员在检查室及管沟内作业时,严禁使用潜水泵等用电设备;
4 在有限空间内操作时,地面上应有监护人员,并应保持联络畅通;
5 严禁在有限空间内休息。
8.0.4 运行、维护除应符合现行行业标准《城镇供热系统安全运行技术规程》CJJ/T 88的相关规定外,还应符合下列规定:
1 供热管线及附属设施应定期进行巡检,并应制定巡检方案;
2 当系统出现压力降低、温度变化较大、失水量增大等异常情况时应立即进行全网巡检,并应查明故障原因;
3 巡检发现外界施工占压和可能损坏供热管道及设施时,应及时进行处理,并应在施工阶段加强巡视;
4 巡检发现管道系统泄漏时,应立即设置安全警戒区和警示标志,并采取防护措施;
5 当有市政管线在直埋热水管道上面或侧面进行平行或垂直开槽施工时,应及时告知建设单位采取保护措施。
附录A 全国主要城市地温月平均值
表A 全国主要城市地温月平均值




附录B 钢材性能
B.0.1 常用钢材的力学性能应符合表B.0.1的规定。
表B.0.1 常用钢材的力学性能

B.0.2 常用钢材的弹性模量E和线膨胀系数α值应符合表B.0.2的规定。
表B.0.2 常用钢材的弹性模量E和线膨胀系数α

附录C 转角管段弹性抗弯铰解析计算法
C.1 直埋水平转角管段计算
C.1.1 水平转角管段的过渡段长度应按下列公式计算(图C.1.1):

当t1-t0>ΔTy时,取t1-t0=ΔTy
式中:lt.max——水平转角管段的过渡段最大长度(m);
lt.min——水平转角管段的过渡段最小长度(m);
lt——水平转角管段循环工作的过渡段长度(m);
α——钢材的线膨胀系数[m/(m·℃)];
E——钢材的弹性模量(MPa);
t1——管道工作循环最高温度(℃);
t0——管道计算安装温度(℃);
t2——管道工作循环最低温度(℃);
υ——钢材的泊松系数,取0.3;
σt——管道内压引起的环向应力(MPa);
A——工作管管壁的横截面积(m2);
Fmin——单位长度最小摩擦力(N/m);


C.1.2 水平转角管段弯头弯矩变化范围计算应符合下列规定:
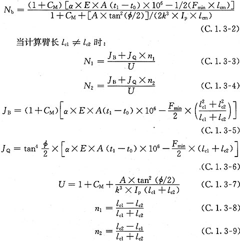
1 水平转角管段的计算臂长lc1、lc2和平均计算臂长lcm应按下列方法确定:

式中:lcm——水平转角管段的平均计算臂长(m);
lt——水平转角管段循环工作的过渡段长度(m);
lc1、lc2——水平转角管段的计算臂长(m),当l1≥l2≥lt时,取lc1=lc2=lt;当l1≥lt≥l2时,取lc1=lt,lc2=l2;当lt≥l1≥l2时,取lc1=l1,lc2=l2;
l1、l2——设计布置的转角管段两侧臂长(m)。
2 弯头的弯矩变化范围应按下式计算:

式中:M——弯头的弯矩变化范围(N·m);
α——钢材的线膨胀系数[m/(m·℃)];
E——钢材的弹性模量(MPa);
A——工作管管壁的横截面积(m2);
t1——管道工作循环最高温度(℃);
t2——管道工作循环最低温度(℃);
Fmin——单位长度最小摩擦力(N/m);
lcm——转角管段的平均计算臂长(m);


式中:l1、l2——设计布置的转角管段两侧臂长(m);
lt.max——水平转角管段的过渡段最大长度(m);
lc1、lc2——水平转角管段的计算臂长(m);当l1≥l2≥lt.max时,取lc1=lc2=lt.max;当l1≥lt.max≥l2时,取lc1=lt.max,lc2=l2;当lt.max≥l1≥l2时,取lc1=l1,lc2=l2;
lcm——水平转角管段的平均计算臂长(m)。
2 弯头的轴向力应按下列公式计算:
当计算臂长lc1=lc2=lcm时:

式中:Nb——弯头两侧计算臂长相等时的轴向力(N);
N1——弯头两侧计算臂长不等时,lc1侧的轴向力(N);
N2——弯头两侧计算臂长不等时,lc2侧的轴向力(N);
α——钢材的线膨胀系数[m/(m·℃)];
E——钢材的弹性模量(MPa);
A——工作管管壁的横截面积(m2);
t0——管道计算安装温度(℃);
t1——管道工作循环最高温度(℃);
Fmin——单位长度最小摩擦力(N/m);
lcm——转角管段的平均计算臂长(m);

附录C 转角管段弹性抗弯铰解析计算法
C.1 直埋水平转角管段计算
C.1.1 水平转角管段的过渡段长度应按下列公式计算(图C.1.1):

当t1-t0>ΔTy时,取t1-t0=ΔTy
式中:lt.max——水平转角管段的过渡段最大长度(m);
lt.min——水平转角管段的过渡段最小长度(m);
lt——水平转角管段循环工作的过渡段长度(m);
α——钢材的线膨胀系数[m/(m·℃)];
E——钢材的弹性模量(MPa);
t1——管道工作循环最高温度(℃);
t0——管道计算安装温度(℃);
t2——管道工作循环最低温度(℃);
υ——钢材的泊松系数,取0.3;
σt——管道内压引起的环向应力(MPa);
A——工作管管壁的横截面积(m2);
Fmin——单位长度最小摩擦力(N/m);


C.1.2 水平转角管段弯头弯矩变化范围计算应符合下列规定:
1 水平转角管段的计算臂长lc1、lc2和平均计算臂长lcm应按下列方法确定:

式中:lcm——水平转角管段的平均计算臂长(m);
lt——水平转角管段循环工作的过渡段长度(m);
lc1、lc2——水平转角管段的计算臂长(m),当l1≥l2≥lt时,取lc1=lc2=lt;当l1≥lt≥l2时,取lc1=lt,lc2=l2;当lt≥l1≥l2时,取lc1=l1,lc2=l2;
l1、l2——设计布置的转角管段两侧臂长(m)。
2 弯头的弯矩变化范围应按下式计算:

式中:M——弯头的弯矩变化范围(N·m);
α——钢材的线膨胀系数[m/(m·℃)];
E——钢材的弹性模量(MPa);
A——工作管管壁的横截面积(m2);
t1——管道工作循环最高温度(℃);
t2——管道工作循环最低温度(℃);
Fmin——单位长度最小摩擦力(N/m);
lcm——转角管段的平均计算臂长(m);


式中:l1、l2——设计布置的转角管段两侧臂长(m);
lt.max——水平转角管段的过渡段最大长度(m);
lc1、lc2——水平转角管段的计算臂长(m);当l1≥l2≥lt.max时,取lc1=lc2=lt.max;当l1≥lt.max≥l2时,取lc1=lt.max,lc2=l2;当lt.max≥l1≥l2时,取lc1=l1,lc2=l2;
lcm——水平转角管段的平均计算臂长(m)。
2 弯头的轴向力应按下列公式计算:
当计算臂长lc1=lc2=lcm时:

式中:Nb——弯头两侧计算臂长相等时的轴向力(N);
N1——弯头两侧计算臂长不等时,lc1侧的轴向力(N);
N2——弯头两侧计算臂长不等时,lc2侧的轴向力(N);
α——钢材的线膨胀系数[m/(m·℃)];
E——钢材的弹性模量(MPa);
A——工作管管壁的横截面积(m2);
t0——管道计算安装温度(℃);
t1——管道工作循环最高温度(℃);
Fmin——单位长度最小摩擦力(N/m);
lcm——转角管段的平均计算臂长(m);

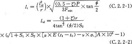
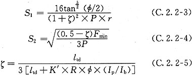
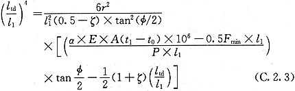
C.2 直埋竖向转角管段计算
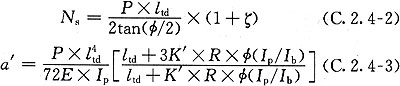
C.2.1 竖向转角管段分为两类,一类为弯头在下(曲率中心在上),其内力计算与水平转角管段相同,应按本规程C.1的规定进行,土壤压缩反力系数取较大值。另一类为弯头在上(曲率中心在下),弯头两侧管道所受土壤压力近似等于顶起的土体重力,不随位移的增加而增大,计算方法应按本节规定进行。
C.2.2 竖向转角管段的过渡段长度及变形段长度应按下列公式计算(图C.2.2):


当t1-t0>ΔTy时,取t1-t0=ΔTy
式中:lt——竖向转角管段循环工作的过渡段长度(m);
ltd——竖向转角管段臂长l1≥lt时的变形段长度(m),可用迭代法解出(计算精度2%);
r——工作管平均半径(m);
P——土压力,取变形段管顶平均覆土重(N/m);
Fmin——单位长度最小摩擦力(N/m);
K′——弯头工作管柔性系数,按公式(C.1.1-7)计算;
R——弯头的曲率半径(m);



式中:ltd——竖向转角管段臂长l1<lt时的变形段长度(m),可用迭代法解出(计算精度2%);
l1——设计布置的转角管段臂长(m);
r——工作管平均半径(m);
α——钢材的线膨胀系数[m/(m·℃)];
E——钢材的弹性模量(MPa);
A——工作管管壁的横截面积(m2);
t1——管道工作循环最高温度(℃);
t0——管道计算安装温度(℃);
Fmin——单位长度最小摩擦力(N/m);
P——土压力,取变形段管顶平均覆土重(N/m);



式中:M——弯头的弯矩变化范围(N·m);
P——土压力,取变形段管顶平均覆土重(N/m);
ltd——竖向转角管段的变形段长度(m),按公式(C.2.2)或(C.2.3)计算;
Ns——竖向转角管段弯头的轴向力(N);

附录D 固定墩和固定支架承受的推力计算
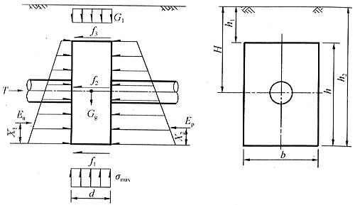
D.0.1 按本规范第6.1节规定的原则,给出常见的管道布置形式中固定墩承受推力的计算公式。当实际工程中出现不同的布置形式时,可参考相似形式的计算原则确定计算公式。计算公式不考虑固定墩位移的影响。
D.0.2 管道典型布置形式的等径等壁厚管道升温时固定墩推力T应按表D.0.2所列公式计算。
表D.0.2 等径等壁厚管道升温时固定墩推力T


D.0.3 表D.0.2中的推力系数Ψ(图D.0.3-1)和综合抵消系数η(D.0.3-2)应查图取值。


D.0.4 表D.0.2中的判别值l1、l2应按下列公式计算:


式中:l1——直管段推力系数判别值;
l2——转角管段推力系数判别值;
l1、l2——设计布置的管段长度(m);
Lmax——直管段的过渡段最大长度(m);
Lmin——直管段的过渡段最小长度(m);
lt.max——转角管段的过渡段最大长度(m);
lt.min——转角管段的过渡段最小长度(m)。
附录E 直埋保温管预热安装
E.0.1 在满足本规程公式(5.3.5-1)的条件时,可采用预热安装方法调整管道对固定墩的推力。
E.0.2 管道计算安装温度应根据固定墩能承受的推力确定。管道对固定墩的推力应按本规程6.1.1、6.1.2条的规定计算。
E.0.3 直埋管道预热段与相邻非预热段应设置固定墩隔开。预热段内不应含有变径和不同材质的钢管。
E.0.4 预热安装宜采用敞沟预热,在不具备敞沟预热的条件下,可采用覆土预热。预热方法可采用电预热、风预热、水预热等。当采用电预热时,供回水管间不能形成短路。
E.0.5 管道预热温度宜高于管道计算安装温度,预热伸长量应达到计算伸长量。
E.0.6 敞沟预热应符合下列规定:
1 应根据预热设备容量和现场实际情况,对管网进行分段预热,预热管段长度不宜小于500m;
2 预热管段的计算安装温度不宜高于管道工作循环平均温度;
3 采用分段预热时,预热管段之间应留有2m~3m的空间,在下一管段进行预热时,上一管段的回缩量宜一并补足,总伸长量应满足要求;
4 预热管段的热伸长量应按下式计算:
Δl=α(t0-ti)Lpr (E.0.6-1)
式中:Δl——管段的热伸长量(m);
α——钢材的线膨胀系数[m/(m·℃)];
t0——管道计算安装温度(℃);
ti——预热开始前的管道温度(℃);
Lpr——预热管段长度(m)。
5 在管道工作循环最高温度时,预热管段对固定墩的推力应按下式计算:
Ts=α×E(t1-t0)A×106 (E.0.6-2)
式中:Ts——预热管段对固定墩的推力(N);
α——钢材的线膨胀系数[m/(m·℃)];
E——钢材的弹性模量(MPa);
t1——管道工作循环最高温度(℃);
t0——管道计算安装温度(℃);
A——工作管管壁的横截面积(m2)。
6 管道上的三通应在预热前安装好,且不得与三通支管连接。如果预热后需在管道上开口加装三通,应在开口前做补强处理;
7 预热前应将管道中的水排尽;
8 预热过程中应采取防止管道横向移动的措施;
9 管沟内不得有可能阻碍管道自由伸长的土石方或结构;
10 预热段全部回填夯实前,应维持预热温度。
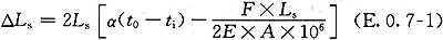
E.0.7 覆土预热应符合下列规定:
1 覆土预热宜采用一次补偿器吸收管道的预热伸长量;
2 预热宜与热网试运行合并进行;
3 预热管段的计算安装温度不应高于管道工作循环最高温度;
4 一个预热段设置多个一次性补偿器时,一次性补偿器应均匀布置,每个一次性补偿器的预热伸长量应按下式计算:

式中:ΔLs——一次性补偿器的计算预热伸长量(m);
Ls——一次性补偿器到固定点或驻点的距离(m);
α——钢材的线膨胀系数[m/(m·℃)];
t0——管道计算安装温度(℃);
ti——预热开始前的管道温度(℃);
F——预热段管道单位长度摩擦力(N/m);
E——钢材的弹性模量(MPa);
A——工作管管壁的横截面积(m2)。
5 在管道工作循环最高温度时,预热管段对固定墩的推力应按下式计算:
Ts=α×E(t1-t0)A×106+F×Ls (E.0.7-2)
式中:Ts——预热管段对固定墩的推力(N);
α——钢材的线膨胀系数[m/(m·℃)];
E——钢材的弹性模量(MPa);
t1——管道工作循环最高温度(℃);
t0——管道计算安装温度(℃);
A——钢管管壁的横截面积(m2);
F——预热段管道单位长度摩擦力(N/m);
Ls——一次性补偿器到固定点的距离(m)。
6 在管道工作循环最低温度时,管道对一次性补偿器的拉力应按下式计算:
Ps=α×E(t0-t2)A×106 (E.0.7-3)
式中:Ps——一次性补偿器的拉力(N);
α——钢材的线膨胀系数[m/(m·℃)];
E——钢材的弹性模量(MPa);
t0——管道计算安装温度(℃);
t2——管道工作循环最低温度(℃);
A——工作管管壁的横截面积(m2)。
7 预热管道外宜包裹塑料薄膜,并按首次升温的摩擦系数计算单位长度摩擦力;
8 一次性补偿器的补偿量应在预热前调整为计算预热伸长量,并应在伸长量到位后将一次性补偿器焊接成整体。
本规程用词说明
1 为便于在执行本规程条文时区别对待,对要求严格程度不同的用词说明如下:
1)表示很严格,非这样做不可的用词:
正面词采用“必须”,反面词采用“严禁”;
2)表示严格,在正常情况下均应这样做的用词:
正面词采用“应”,反面词采用“不应”或“不得”;
3)表示允许稍有选择,在条件许可时首先应这样做的用词:
正面词采用“宜”,反面词采用“不宜”;
4)表示有选择,在一定条件下可以这样做的用词,采用“可”。
2 条文中指明应按其他有关标准执行的写法为:“应符合……的规定”或“应按……执行”。
引用标准名录
1 《混凝土结构设计规范》GB 50010
2 《湿陷性黄土地区建筑规范》GB 50025
3 《室外给水排水和燃气热力工程抗震设计规范》GB 50032
4 《工业建筑防腐蚀设计规范》GB 50046
5 《膨胀土地区建筑技术规范》GB 50112
6 《土方与爆破工程施工及验收规范》GB 50201
7 《高密度聚乙烯外护管硬质聚氨酯泡沫塑料预制直埋保温管及管件》GB/T 29047
8 《城市测量规范》CJJ/T 8
9 《城镇供热管网工程施工及验收规范》CJJ 28
10 《城镇供热管网设计规范》CJJ 34
11 《城镇供热系统安全运行技术规程》CJJ/T 88
12 《玻璃纤维增强塑料外护层聚氨酯泡沫塑料预制直埋保温管》CJ/T 129
中华人民共和国行业标准
城镇供热直埋热水管道技术规程
CJJ/T 81-2013
条文说明
修订说明
《城镇供热直埋热水管道技术规程》CJJ/T 81-2013经住房和城乡建设部2013年7月26日以住房和城乡建设部第91号公告批准、发布。
本规程上一版的主编单位是唐山市热力总公司,参加单位有北京市煤气热力工程设计院、哈尔滨建筑大学、沈阳热力工程设计研究院、中建二局安装公司、鸡西热力公司、哈尔滨热力公司、中国矿业大学。上一版主要起草人员是:刘领诚、姚约翰、张立华、尹光宇、王钢、肖锡发、郭华、陈永鹤、黄祟国、马健、张兴业、贺孟彰、李武勇、王莹君。
为便于广大设计、施工、科研、学校等单位有关人员在使用本规程时能正确理解和执行条文规定,《城镇供热直埋热水管道技术规程》编制组按章、节、条顺序编制了本规程的条文说明,对条文规定的目的、依据以及执行中需注意的有关事项进行了说明。但是,本条文说明不具备与标准正文同等的法律效力,仅供使用者作为理解和把握标准规定的参考。
1 总 则
1.0.1 城镇供热管道直埋敷设方法同传统的管沟敷设方法相比,具有占地少、施工周期短、维护量小、寿命长等诸多优点,适合城市建设的要求,在我国已得以广泛应用。
我国城市人口密集,随着区域供热的不断发展,实际工程中的热水直埋管道的管径已突破原规程的适用范围,这是本规程修订的主要原因之一。
1.0.2 本规程是针对工作管、保温层和外护管连结为一个整体的预制保温管直接埋地的供热管网编制的。本规程的温度适用范围与原规程一致,适用的最高设计温度为150℃,主要针对钢质工作管的计算方法。我国现行产品标准《高密度聚乙烯外护管硬质聚氨酯泡沫塑料预制直埋保温管及管件》规定适用于长期运行温度不高于120℃,偶然峰值温度不高于140℃的预制直埋保温管、保温管件及保温接头的制造与检验,设计温度高于该温度范围时需要对保温材料及保温结构进行试验验证。本规程的压力适用范围与现行行业标准《城镇供热管网设计规范》一致,适用的最高设计压力为2.5MPa。
本规程规定的管材及设计、施工方法,主要用于输送介质为热水的城镇供热直埋管道,也可用于输送冷水或低压蒸汽的管道。
1.0.3 直埋供热管道和给水管道、雨污水管道、燃气管道都属市政管道,在直埋地下方面具有共性。在地震区,湿陷性黄土地区和膨胀土地区,供热管道和燃气、给水、排水管道在安全性上有共同要求。因此,直埋供热管道应遵守国家已经颁布的有关标准的规定。
1.0.4 城镇直埋供热管道属于城镇供热管网范畴。本规程主要规定与直埋热水管道相关的设计、施工验收及运行维护要求。在执行本规范时,要同时执行《城镇供热管网设计规范》CJJ 34、《城镇供热管网工程施工及验收规范》CJJ 28和《城镇供热系统安全运行技术规程》CJJ/T 88的规定,且这3项标准中都有强制性条文,必须严格执行。CJJ 28和CJJ/T 88与本标准同时修订,所制定的技术内容较多,本规程在编写时不再赘述同样的内容,而直接引用。所以在执行本规程时,上述3项标准是不可缺失的。另城镇供热直埋热水管道工程可能涉及其他的国家现行有关标准,如可能涉及的给排水、电气及城镇建设共性的规定等,应遵守。
2 术语和符号
2.1 术 语
2.1.1 本规程关于直埋热水管道的规定,仅适用于工作管、保温层和外护管连结为一个整体的预制保温管。在城镇热水供热系统的常规介质参数下,这种保温管可以保持整体结构,设计计算方法与其他敷设方式有较大差别。整体预制保温管也可用于输送供冷介质的直埋管道系统。
2.1.2 管道伸缩完全受阻是指管道在温度变化时,不能向两端、两侧任何方向产生位移。屈服是指管材因应力产生塑性变形。
2.1.3 活动端允许管道向该部位发生位移。
2.1.4~2.1.6 驻点、锚固点与固定点的区别在于,固定点设置固定墩,不允许位移;而驻点和锚固点是管道温度变化时的实际位移情况形成的不发生位移的点。锚固点的一侧为锚固段,另一侧为过渡段;驻点的两侧均为过渡段。驻点和锚固点可能因温度、土壤摩擦力的变化等因素而发生移动。
2.1.7、2.1.8 直埋敷设热水管道设计时要区分2种状态,即锚固段和过渡段。锚固段管道在温度变化时只发生应力变化而不产生热位移,过渡段管道在温度变化时不仅发生应力变化还会产生热位移。
2.1.9 过渡段管道在温度变化时,摩擦力与热位移方向相反。
2.1.10 直埋管道因土壤的作用侧向位移量较小,仅在弯头附近产生侧向位移,在弯头变形段长度范围内管道布置受到一定限制。
2 术语和符号
2.1 术 语
2.1.1 本规程关于直埋热水管道的规定,仅适用于工作管、保温层和外护管连结为一个整体的预制保温管。在城镇热水供热系统的常规介质参数下,这种保温管可以保持整体结构,设计计算方法与其他敷设方式有较大差别。整体预制保温管也可用于输送供冷介质的直埋管道系统。
2.1.2 管道伸缩完全受阻是指管道在温度变化时,不能向两端、两侧任何方向产生位移。屈服是指管材因应力产生塑性变形。
2.1.3 活动端允许管道向该部位发生位移。
2.1.4~2.1.6 驻点、锚固点与固定点的区别在于,固定点设置固定墩,不允许位移;而驻点和锚固点是管道温度变化时的实际位移情况形成的不发生位移的点。锚固点的一侧为锚固段,另一侧为过渡段;驻点的两侧均为过渡段。驻点和锚固点可能因温度、土壤摩擦力的变化等因素而发生移动。
2.1.7、2.1.8 直埋敷设热水管道设计时要区分2种状态,即锚固段和过渡段。锚固段管道在温度变化时只发生应力变化而不产生热位移,过渡段管道在温度变化时不仅发生应力变化还会产生热位移。
2.1.9 过渡段管道在温度变化时,摩擦力与热位移方向相反。
2.1.10 直埋管道因土壤的作用侧向位移量较小,仅在弯头附近产生侧向位移,在弯头变形段长度范围内管道布置受到一定限制。
2.2 符 号
本规程使用的符号较多,供热专业符号和计量单位基础标准尚未编制,本规程主要按供热行业符号的使用习惯及国家规定的常用计量符号确定,在供热专业符号和计量单位标准制定后再行调整。为使用者方便,赘列了本规程使用的计算符号。
3 保温管及管件
3.1 一般规定
3.1.1 工厂预制的产品由于加工条件好,产品质量可靠。如现场制作保温管和管件,受加工条件所限,保温层质量及外护层的密封性很难保证,如果外界水进入保温层中,高温运行时会导致聚氨酯保温层碳化失效,破坏预制直埋保温管道系统的整体式结构,导致整个管网系统失效。
3.1.2 直埋热水管道保温结构除具有管道保温的功能外,还具有传递力、抵抗土壤压力的功能,保温层和外护管都必须具有足够强度以保证保温结构完整,外护管、保温层、工作管相互之间粘结强度也是保证保温结构完整所必需的。目前,直埋热水管道保温材料采用硬质聚氨酯泡沫塑料,耐高温性能是保证管道使用寿命的关键指标。目前,硬质聚氨酯泡沫塑料,在120℃下能保证连续30年寿命,如果用在长期高于120℃的供热管网上,将加速老化,其寿命缩短。本规程对保温管道设计温度的适用范围为小于或等于150℃,在实际工程中要考虑保温材料在运行温度和运行时间等条件下,长期运行能否满足设计寿命。对运行温度高于120℃的保温管可以根据EN253的要求推算出能达到140℃(甚至更高温度)、寿命为30年的聚氨酯配方及保温管。
3.1.3 《高密度聚乙烯外护管聚氨酯泡沫塑料预制直埋保温管》CJ/T 114-2000和《高密度聚乙烯外护管聚氨酯泡沫塑料预制直埋保温管件》CJ/T 155-2001已被合并修订,并上升为国家标准《高密度聚乙烯外护管硬质聚氨酯泡沫塑料预制直埋保温管及管件》GB/T 29047,相应的试验方法和检验规则按新制定的国家标准《城镇供热预制直埋保温管道技术指标检测方法》执行。《高密度聚乙烯外护管硬质聚氨酯泡沫塑料预制直埋保温管及管件》GB/T 29047标准对工作钢管、钢制管件、外护管、保温层以及保温管、保温管件、保温接头制定了技术要求,特别是对长期连续运行温度介于120℃至140℃之间的保温管提出了验证的要求。
3.1.4~3.1.6 弯头、三通、异径管处局部应力比较集中,在直埋管道中为较易损伤的部件。该条款制定的技术要求,主要在于减小局部应力,保证管件的强度。
弯头处变形比较大,为保证弯头的强度和质量,弯头应在工厂制造,不应在现场用斜切的方式加工。弯头在加工过程中,背弯处会减薄,为保证背弯处的最小壁厚不小于直管段壁厚,可选用加厚的钢管或钢板进行加工,但应对端口进行坡口处理,并保证与两端直管段的焊接质量。
三通处应力比较复杂,且三通开孔后会降低直管的强度。直埋管道除承受内压外,还要承受很大的摩擦力。所以,为保证管道应力集中处的强度,需要在开孔处采取加固措施。管网运行后再开分支时,应在采取加固措施后再开孔。
3.1.7 本规程控制外护管表面温度(即保温层外表面温度)小于50℃,未区分外护管的材质,从两个方面考虑都是十分必要的。一是确保外护管的安全及使用寿命,二是节能减排。在《高密度聚乙烯外护管硬质聚氨酯泡沫塑料预制直埋保温管及管件》GB/T 29047标准中还提出了进行保温管试验的要求,对保证外护管长期运行是十分重要的。
3.1.8 对外护管端口尺寸的要求,有利于保证管道施工时保温接口的质量。
3.1.9 建立泄漏监测系统需要设置检查井及设备安装位置等,为保证监测系统的完整性和有效性,在管网设计初期应对泄漏监测系统同时进行设计。管网设计发生变更时,如增加分支或其他管件时,往往会增加检查室并对管件进行特殊处理,所以,要同时考虑监测系统的设计变更。
3 保温管及管件
3.1 一般规定
3.1.1 工厂预制的产品由于加工条件好,产品质量可靠。如现场制作保温管和管件,受加工条件所限,保温层质量及外护层的密封性很难保证,如果外界水进入保温层中,高温运行时会导致聚氨酯保温层碳化失效,破坏预制直埋保温管道系统的整体式结构,导致整个管网系统失效。
3.1.2 直埋热水管道保温结构除具有管道保温的功能外,还具有传递力、抵抗土壤压力的功能,保温层和外护管都必须具有足够强度以保证保温结构完整,外护管、保温层、工作管相互之间粘结强度也是保证保温结构完整所必需的。目前,直埋热水管道保温材料采用硬质聚氨酯泡沫塑料,耐高温性能是保证管道使用寿命的关键指标。目前,硬质聚氨酯泡沫塑料,在120℃下能保证连续30年寿命,如果用在长期高于120℃的供热管网上,将加速老化,其寿命缩短。本规程对保温管道设计温度的适用范围为小于或等于150℃,在实际工程中要考虑保温材料在运行温度和运行时间等条件下,长期运行能否满足设计寿命。对运行温度高于120℃的保温管可以根据EN253的要求推算出能达到140℃(甚至更高温度)、寿命为30年的聚氨酯配方及保温管。
3.1.3 《高密度聚乙烯外护管聚氨酯泡沫塑料预制直埋保温管》CJ/T 114-2000和《高密度聚乙烯外护管聚氨酯泡沫塑料预制直埋保温管件》CJ/T 155-2001已被合并修订,并上升为国家标准《高密度聚乙烯外护管硬质聚氨酯泡沫塑料预制直埋保温管及管件》GB/T 29047,相应的试验方法和检验规则按新制定的国家标准《城镇供热预制直埋保温管道技术指标检测方法》执行。《高密度聚乙烯外护管硬质聚氨酯泡沫塑料预制直埋保温管及管件》GB/T 29047标准对工作钢管、钢制管件、外护管、保温层以及保温管、保温管件、保温接头制定了技术要求,特别是对长期连续运行温度介于120℃至140℃之间的保温管提出了验证的要求。
3.1.4~3.1.6 弯头、三通、异径管处局部应力比较集中,在直埋管道中为较易损伤的部件。该条款制定的技术要求,主要在于减小局部应力,保证管件的强度。
弯头处变形比较大,为保证弯头的强度和质量,弯头应在工厂制造,不应在现场用斜切的方式加工。弯头在加工过程中,背弯处会减薄,为保证背弯处的最小壁厚不小于直管段壁厚,可选用加厚的钢管或钢板进行加工,但应对端口进行坡口处理,并保证与两端直管段的焊接质量。
三通处应力比较复杂,且三通开孔后会降低直管的强度。直埋管道除承受内压外,还要承受很大的摩擦力。所以,为保证管道应力集中处的强度,需要在开孔处采取加固措施。管网运行后再开分支时,应在采取加固措施后再开孔。
3.1.7 本规程控制外护管表面温度(即保温层外表面温度)小于50℃,未区分外护管的材质,从两个方面考虑都是十分必要的。一是确保外护管的安全及使用寿命,二是节能减排。在《高密度聚乙烯外护管硬质聚氨酯泡沫塑料预制直埋保温管及管件》GB/T 29047标准中还提出了进行保温管试验的要求,对保证外护管长期运行是十分重要的。
3.1.8 对外护管端口尺寸的要求,有利于保证管道施工时保温接口的质量。
3.1.9 建立泄漏监测系统需要设置检查井及设备安装位置等,为保证监测系统的完整性和有效性,在管网设计初期应对泄漏监测系统同时进行设计。管网设计发生变更时,如增加分支或其他管件时,往往会增加检查室并对管件进行特殊处理,所以,要同时考虑监测系统的设计变更。
3.2 保温计算
3.2.1 直埋保温管的保温厚度除要满足制造要求外,还要满足设计要求。在直埋热水管道设计中,起主要作用的计算条件是外护层耐温要求。特殊情况下附近其他设施对地温升高很敏感时,还要求计算环境温度。
3.2.2 附录A给出了部分城市的自然地温数据,摘自《城镇供热直埋蒸汽管道技术规程》CJJ 104-2005。
3.2.3、3.2.4 热水供热管道一般为供回水管同沟敷设,两根管道散热形成的温度场与单管敷设不同,需要计入两管温度的相互影响,本条采用附加热阻的计算方法,并进行了适当简化。保温计算时,先设定管道保温层厚度,根据敷设条件计算管道散热损失,再校核保温层外表面温度,如保温管表面温度不满足本规程3.2.1的条件,则需要调整保温厚度重新计算。
3.2.5 双管敷设供热管道温度场计算时,计算点坐标χ取与供水管中心线的水平距离,y取与地面的垂直距离(见图1)。

4 管道布置与敷设
4.1 管道布置
4.1.1 《城镇供热管网设计规范》CJJ 34对管道布置提出了具体的要求,包括管道的布置原则;管道平面位置的布置要求;穿越建筑物的地下室的规定;供热管道在综合管沟内布置要求等,在使用本规程时,执行《城镇供热管网设计规范》CJJ 34相关规定十分必要。
4.1.2 直埋热水管道与设施的净距与《城镇供热管网设计规范》CJJ 34一致,只是在设施的项目中增加压缩空气或CO2管道、乙炔、氧气管道的净距要求。
4.1.3 国家标准《给水排水工程管道结构设计规范》GB 50332-2002规定,管顶埋深大于0.7m后,车辆荷载的动力系数等于1,根据《城市道路工程设计规范》CJJ 37-2012,道路路面结构设计应以双轮组单轴载100kN为标准轴载。对有特殊荷载使用要求的道路,应根据具体车辆确定路面结构计算荷载。按《公路桥涵设计通用规范》JTG D60-2004,车辆荷载取超20级,后轴重力标准值140kN,单个轮组70kN,轮胎着地面积0.2m×0.6m,压力传播呈30°角,但不考虑后轴之间压力传播的叠加组合作用等作为计算条件。经计算地面车辆荷载两个轮压传至保温管的竖向压力和土壤的静土压力总和在管顶覆土深度1.38m~1.6m时管顶、管底、管中都最小。因此机动车道下敷设的大管径管道最小覆土深度取1.3m,DN500以下管道保留了原规程条文的规定数值。非机动车道下敷设的管道最小覆土深度大于原规程规定,是为了避免机动车的闯入造成的危害。
覆土深度不能保证时采取的保护措施包括设置过街套管或管沟、在管道上方敷设混凝土板等。
4.1.4 《城镇供热管网设计规范》CJJ 34对河底敷设供热管道制定了敷设的基本原则、覆土深度及应进行抗浮计算等规定。
4 管道布置与敷设
4.1 管道布置
4.1.1 《城镇供热管网设计规范》CJJ 34对管道布置提出了具体的要求,包括管道的布置原则;管道平面位置的布置要求;穿越建筑物的地下室的规定;供热管道在综合管沟内布置要求等,在使用本规程时,执行《城镇供热管网设计规范》CJJ 34相关规定十分必要。
4.1.2 直埋热水管道与设施的净距与《城镇供热管网设计规范》CJJ 34一致,只是在设施的项目中增加压缩空气或CO2管道、乙炔、氧气管道的净距要求。
4.1.3 国家标准《给水排水工程管道结构设计规范》GB 50332-2002规定,管顶埋深大于0.7m后,车辆荷载的动力系数等于1,根据《城市道路工程设计规范》CJJ 37-2012,道路路面结构设计应以双轮组单轴载100kN为标准轴载。对有特殊荷载使用要求的道路,应根据具体车辆确定路面结构计算荷载。按《公路桥涵设计通用规范》JTG D60-2004,车辆荷载取超20级,后轴重力标准值140kN,单个轮组70kN,轮胎着地面积0.2m×0.6m,压力传播呈30°角,但不考虑后轴之间压力传播的叠加组合作用等作为计算条件。经计算地面车辆荷载两个轮压传至保温管的竖向压力和土壤的静土压力总和在管顶覆土深度1.38m~1.6m时管顶、管底、管中都最小。因此机动车道下敷设的大管径管道最小覆土深度取1.3m,DN500以下管道保留了原规程条文的规定数值。非机动车道下敷设的管道最小覆土深度大于原规程规定,是为了避免机动车的闯入造成的危害。
覆土深度不能保证时采取的保护措施包括设置过街套管或管沟、在管道上方敷设混凝土板等。
4.1.4 《城镇供热管网设计规范》CJJ 34对河底敷设供热管道制定了敷设的基本原则、覆土深度及应进行抗浮计算等规定。
4.2 管道敷设
4.2.1 热水管道要布置一定的坡度,在设计时确定放气、排水设施的位置和规格,满足管道充水和放水要求。设在过渡段的直埋放气、放水管与管道位移不一致时容易破坏,连接处的设置要防止开口处受力过大。
4.2.2 直埋管道敷设线路经常需要转弯,有些设计通过设置固定墩、补偿器减小弯头处的应力,不但增加工程投资,也增加了管道的安全风险。本条规定应利用转角自然补偿,需要设计单位进行设计计算,并采用适合自然补偿的管件,不推荐在每个管道转弯处都加固定墩的设计方法。
4.2.3 直埋管道升温时弯头附近会产生侧向变形,以补偿管道热伸长。转角管段布置时两侧的臂长要大于管道侧向变形段的长度,在此范围内不应再布置三通、折角、弯头、阀门、补偿器、固定墩、检查室等附件。本规程附录C弹性抗弯铰解析法在公式推导过程中作了kl≥3的假定,使公式大为简化,形成了现在应用的简明近似式。为使该公式的应用范围略有扩大,在kl≥2.3(即大于变形段长度)时即可应用该法,而计算误差不致过大。不符合此项规定时,应采用有限元法计算。本条用此条件将转角管段的臂长限定为le=2.3/k。
4.2.4 “Z”形和“П”形管段是最常见的管段布置形式。“Z”形管段分割时以垂直臂上的驻点将管段分为两个“L”形管段,对于两侧转角相同的“Z”形管段,驻点可取垂直臂中点。“П”形管段自外伸臂的顶点起将两个外伸臂连同两侧的直管段分为两个“L”形管段,“П”形两外伸臂顶点间的管段一般很短,对分割为两个“L”形管段无大影响。
4.2.5 本条保留了原规程3.2.3条可视为直管段的折角范围,增加了DN500以上管径及常用循环温差范围下的最大折角。循环工作温差140℃最大平面折角比修订前降低了。事实上当循环温差达到140℃,在设计压力2.5MPa的条件下,只有少量小直径管道能通过安定性分析验算。
为了探索和分析水平转角管段满足强度条件之最大折角的变化规律,分别按照强度条件、疲劳分析、局部屈曲分析等3种方法进行了计算。
从计算结果看:
1 安装温差对转角强度的影响可以忽略不计。
2 循环工作温差对折角的影响是显著的。随着循环温差的减小,该折角可显著增大。
3 径厚比的影响也是明显的,随着径厚比的增大,在其他条件相同的情况下,该折角减小。
4 土壤横向约束反力系数C对折角的大小有影响。以取值范围1×106N/m3~10×106N/m3为例进行计算,结果表明:随着C增大,折角可增大,增加的幅度,小管比大管的小。因此折角周向严禁垫泡沫垫。
5 随着埋深的增加,折角增加,但幅度不大。
6 从限制折角大小的严格程度排序,依次为强度条件、局部不会屈曲、疲劳分析法。
对于DN500以下的管道,坡度变化仍采用小于2%;对于DN600~DN1200的管道,坡度变化不大于1%。考虑到竖向变坡是不可避免的,所以竖向折角按照第四强度理论和经典疲劳分析,坡度变化放大到0.01,即折角放大到0.6度,即使是循环温差120℃,DN500~DN1200的管道,尚有6%的余度。
4.2.6 本条给出了一些处理折角的方式,在没有条件提前订购预制弯管时,可以用“L”形或“П”形管段代替折角。
在管道敷设中推行采用弯管,具有诸多优点:
1 管道布置可按更自然的方式沿街道或地形进行,减少了管线的长度;
2 可以避免使用小角度折角、“L”形和“Z”形管段;
3 可以减少管道接头数量;
4 管道锚固段较长,位移量较少。
4.2.7 直埋管道引出分支时,分支点要选在干线位移小的部位,以免三通干管与支管变形无法协调而破坏。
4.2.8 直埋管道设分支时,分支管上的附件要与三通留有一定距离,保持三通附近管道的柔性。当分支管径小于或等于DN500时,管道的弯头变形段长度为2m~8m,仍采用原规程条文引出分支的技术措施。当管径超过DN500后,弯头变形段长度超过9m,如在支线上设固定墩和补偿器,会导致支线对三通的作用危险增大,应采取其他技术措施。
4.2.9 轴向补偿器附近不应布置分支、转角、变坡点等会造成管道侧向位移的附件,保持管道伸长方向与补偿器轴线一致,避免补偿器损坏。
4.3 管道附件与设施
4.3.1 《城镇供热管网设计规范》CJJ 34对阀门、补偿器等管道附件和检查室等设施的设置制定了技术要求,在执行本规程时应同时执行《城镇供热管网设计规范》CJJ 34的相关规定。
4.3.2 对直埋管网阀门选择和设置的要求:
1 直埋管道阀门要承受因管道热变形而产生的各种力和力矩,其中直埋管道的轴向荷载比管沟敷设管道的轴向荷载大很多,在此强调阀门应能承受管道轴向荷载。
2 钢制阀门相比铸铁阀门能承受较大的荷载,因此要求直埋管道上安装的阀门采用钢制阀门。
3 热水管道工作时管道受力随供热温度变化,选用焊接连接的阀门是经济、可靠的连接方法。
4.3.3 直埋热水管道是连续的整体保温结构,工作管和外护管均有很好的防水作用,不允许管内介质和管外地下水渗入保温层。安装补偿器的位置切断了保温结构,如果没有特殊的防水处理措施直接埋地,介质和地下水容易进入保温层,材料遇水会导致保温结构失效,危及管道系统运行安全。补偿器安装在检查室内便于发现泄漏点。
4.3.4 直埋管道由地下转出地面、转入管沟或检查室时,外护管要与工作管一同引出并做好防水封端,防止管沟和地面积水浸入到直埋管道的保温层内。
4.3.5 由于异径管两端管壁横截面积不同,在应力相同时大管的轴向力大于小管,为保护小管免遭轴向力破坏,要求在其附近设补偿器或固定墩,将不同截面的管段分隔开。
4.3.6 在直埋管道敷设条件允许时,尽量采用柔性连接方式,减少固定墩的设置。
4.3.7 直埋管道固定墩推力较大,设置补偿器可以缩短过渡段长度,减小管道摩擦力。对管道进行预热不影响管道的应力验算和疲劳寿命,但可以减小管道对固定墩的推力,预热安装时根据固定墩结构的承力能力计算确定预热温度和预热伸长量。
4.3.8 因直埋管道的固定墩埋在土内,钢管、钢架如有裸露,将会很快腐蚀损坏,因此特别强调此项。
5 管道应力验算
5.1 一般规定
5.1.1 本章规定针对直埋敷设热水供热管道的工作钢管,应力验算采用目前国内外通用的应力验算方法-应力分类法。当量应力是指将结构内实际的多向应力按一定的强度理论,转换成一个单向应力形式,可与单向试验结果进行比较,使转换前后对结构破坏的影响能达到等效的应力量。本条强度验算条件仍沿用原规程规定。
1 应力分类法的主要特点是将管道上的应力分为一次应力、二次应力和峰值应力三类,并采用相应的应力验算条件。
管道由内压和持续外载产生的应力属于一次应力。它是结构为了满足静力平衡条件而产生的。当应力强度达到甚至超过屈服极限时,由于材料进入屈服或静力平衡条件得不到满足,管道将产生过大变形甚至破坏。一次应力的特点是变形为非自限性的,对应力验算应采用弹性分析或极限分析。
管道由于热胀、冷缩等变形受约束而产生的应力属于二次应力,这是为了满足结构各部分之间的变形协调而引起的应力。当部分材料超过屈服极限时,由于产生少量的塑性变形,变形协调得到满足,变形就不再继续发展,具有变形自限的特点。对二次应力采用安定性分析。所谓安定性是指结构不发生塑性变形的连续循环,管道在有限量塑性变形之后,在留有残余应力的状态下,仍能安定在弹性状态。安定性分析允许的最大弹性应力变化范围是屈服极限的两倍。
峰值应力是指管道或附件(如三通等)上由于局部结构不连续或局部热应力效应产生的应力增量。它的特点是不引起显著的变形,是一种导致疲劳裂纹或脆性破坏的可能原因,必须根据管道整个使用期限所受的循环荷载进行疲劳分析。但对低循环次数的供热管道,对在管道上出现峰值应力的三通、弯头等局部应力集中处,可采用简化公式,计入应力加强系数进行应力验算。
2 应力分类法早已在美国机械工程师协会(ASME)1971年的《锅炉及受压容器规范》中应用;我国1978年发布的《火力发电厂汽水管道应力计算技术规定》,也将1964年颁发的《火力发电厂汽水管道应力计算导则(修订本)》中原来所采用的弹性分析和极限分析应力验算方法改为应力分类法。70年代末期,北京市煤气热力设计所等五单位进行了“热力管道无补偿直埋敷设试验研究”,并按此应力验算方法,设计和安装了以沥青珍珠岩为保温材料的直埋敷设热水管道,一直正常运行。根据国内外的理论研究、规范编制和实践经验,目前我国《城镇供热管网设计规范》、《工业金属管道设计规范》等各行业管道标准均明确规定管道应力验算采用应力分类法。
20世纪80年代初,我国引进北欧国家生产的高密度聚乙烯外护管硬质聚氨酯泡沫塑料预制保温管,目前已在国内城市供热工程中广泛应用。
欧洲标准《Design and installation of preinsulated bonded pipe systems for district heating》EN 13941在进行应力验算时,将管道上的作用(actions)分为两类:力作用(force-controlled actions)和变形作用(displacement-controlled actions)。标准中对变形作用的验算,计算作用循环产生的应力范围,允许管道初次升温时产生塑性变形,管道内的名义应力远高于钢材的屈服极限。对局部应力较大的三通、弯头、折角等发生反复屈服的部位,进行疲劳分析,检验管道在使用期限内的安全性。
实际上欧洲标准也采用了应力分类法进行直埋管道强度验算,应力分类的规则与我国现行标准一致。其中,力作用形成一次应力,变形作用形成二次应力,发生反复屈服的局部应力即为峰值应力。
3 直埋敷设热水管网系统,采用应力分类法进行应力验算,管网中一些固定墩会承受较大轴向力。设计人员可以采用设置少量补偿器和利用布置驻点等设计手段,也能达到减少固定墩数量和降低推力的目的。
5.1.2 应力验算方法确定后,计算参数的取值也是重要条件。热水供热系统的主要特点是供热介质温度随气候周期性变化,从最低温度升至最高温度再降至最低温度的过程,称为一个“工作循环”。这样“工作循环最高温度”与“工作循环最低温度”形成一个计算温度循环范围。
计算压力和工作循环最高温度取用设计压力和设计供水温度,工作循环最低温度取用正常工作循环的最低温度,即停热时经常出现的温度,而不采用可能出现的最低温度,例如较低的安装温度。因为供热管道一次应力加二次应力加峰值应力验算时,应力的限定并不取决于一时的应力水平,而是取决于交变的应力范围和交变的循环次数。安装时的低温只影响最初达到工作循环最高温度时材料塑性变形量,对管道寿命几乎没有影响。
管道工作循环最低温度取决于停热时出现的温度。全年运行的管道停热检修一般在采暖期以后,此时气温、地温已较高,直埋敷设管道由于保温效果好,短期停热管壁温度仍达30℃以上;对于只在采暖期运行的管道,停热时日平均气温不会低于5℃,同样道理,地下敷设管壁温度不会低于10℃。
5.1.3、5.1.4 预制保温管的外壳与土壤之间的摩擦力计算是一项复杂的土力学问题。本条参照欧洲标准《Design and installation of preinsulated bonded pipe systems for district heating》EN 13941的公式。
5.1.5 考虑到目前国内施工中既采用筛过的黏土也采用中砂回填的实际应用状况,本规程给出了在不同情况下摩擦系数μ推荐值表5.1.5。粉质黏土更易形成消力拱,其最小摩擦系数μmin值比回填中砂的低一些。
表5.1.5的摩擦系数值,综合了原哈尔滨建筑工程学院和北京市煤气热力设计所的实验数据,最大摩擦系数μmax值与外国多数资料相符,最小摩擦系数μmin值低一些,这对选补偿器补偿量更有一些安全裕度。
5.1.6 土壤横向压缩反力系数的实测资料较少,本规程目前难以给出详细的数据。不同土壤、不同密实度、不同含水量都影响其取值。具体取值以当地土壤条件实测确定或根据当地的使用经验确定为好。为了便于使用,本规程给出大致的取值范围,并将1978年北京市煤气热力设计所等单位的实测值(测定条件:砂质粉土和粉质黏土,回填密实度为90%~95%)附在条文中,以供取值时参考。
5.1.7 许用应力取值方法沿用原规程规定。
5 管道应力验算
5.1 一般规定
5.1.1 本章规定针对直埋敷设热水供热管道的工作钢管,应力验算采用目前国内外通用的应力验算方法-应力分类法。当量应力是指将结构内实际的多向应力按一定的强度理论,转换成一个单向应力形式,可与单向试验结果进行比较,使转换前后对结构破坏的影响能达到等效的应力量。本条强度验算条件仍沿用原规程规定。
1 应力分类法的主要特点是将管道上的应力分为一次应力、二次应力和峰值应力三类,并采用相应的应力验算条件。
管道由内压和持续外载产生的应力属于一次应力。它是结构为了满足静力平衡条件而产生的。当应力强度达到甚至超过屈服极限时,由于材料进入屈服或静力平衡条件得不到满足,管道将产生过大变形甚至破坏。一次应力的特点是变形为非自限性的,对应力验算应采用弹性分析或极限分析。
管道由于热胀、冷缩等变形受约束而产生的应力属于二次应力,这是为了满足结构各部分之间的变形协调而引起的应力。当部分材料超过屈服极限时,由于产生少量的塑性变形,变形协调得到满足,变形就不再继续发展,具有变形自限的特点。对二次应力采用安定性分析。所谓安定性是指结构不发生塑性变形的连续循环,管道在有限量塑性变形之后,在留有残余应力的状态下,仍能安定在弹性状态。安定性分析允许的最大弹性应力变化范围是屈服极限的两倍。
峰值应力是指管道或附件(如三通等)上由于局部结构不连续或局部热应力效应产生的应力增量。它的特点是不引起显著的变形,是一种导致疲劳裂纹或脆性破坏的可能原因,必须根据管道整个使用期限所受的循环荷载进行疲劳分析。但对低循环次数的供热管道,对在管道上出现峰值应力的三通、弯头等局部应力集中处,可采用简化公式,计入应力加强系数进行应力验算。
2 应力分类法早已在美国机械工程师协会(ASME)1971年的《锅炉及受压容器规范》中应用;我国1978年发布的《火力发电厂汽水管道应力计算技术规定》,也将1964年颁发的《火力发电厂汽水管道应力计算导则(修订本)》中原来所采用的弹性分析和极限分析应力验算方法改为应力分类法。70年代末期,北京市煤气热力设计所等五单位进行了“热力管道无补偿直埋敷设试验研究”,并按此应力验算方法,设计和安装了以沥青珍珠岩为保温材料的直埋敷设热水管道,一直正常运行。根据国内外的理论研究、规范编制和实践经验,目前我国《城镇供热管网设计规范》、《工业金属管道设计规范》等各行业管道标准均明确规定管道应力验算采用应力分类法。
20世纪80年代初,我国引进北欧国家生产的高密度聚乙烯外护管硬质聚氨酯泡沫塑料预制保温管,目前已在国内城市供热工程中广泛应用。
欧洲标准《Design and installation of preinsulated bonded pipe systems for district heating》EN 13941在进行应力验算时,将管道上的作用(actions)分为两类:力作用(force-controlled actions)和变形作用(displacement-controlled actions)。标准中对变形作用的验算,计算作用循环产生的应力范围,允许管道初次升温时产生塑性变形,管道内的名义应力远高于钢材的屈服极限。对局部应力较大的三通、弯头、折角等发生反复屈服的部位,进行疲劳分析,检验管道在使用期限内的安全性。
实际上欧洲标准也采用了应力分类法进行直埋管道强度验算,应力分类的规则与我国现行标准一致。其中,力作用形成一次应力,变形作用形成二次应力,发生反复屈服的局部应力即为峰值应力。
3 直埋敷设热水管网系统,采用应力分类法进行应力验算,管网中一些固定墩会承受较大轴向力。设计人员可以采用设置少量补偿器和利用布置驻点等设计手段,也能达到减少固定墩数量和降低推力的目的。
5.1.2 应力验算方法确定后,计算参数的取值也是重要条件。热水供热系统的主要特点是供热介质温度随气候周期性变化,从最低温度升至最高温度再降至最低温度的过程,称为一个“工作循环”。这样“工作循环最高温度”与“工作循环最低温度”形成一个计算温度循环范围。
计算压力和工作循环最高温度取用设计压力和设计供水温度,工作循环最低温度取用正常工作循环的最低温度,即停热时经常出现的温度,而不采用可能出现的最低温度,例如较低的安装温度。因为供热管道一次应力加二次应力加峰值应力验算时,应力的限定并不取决于一时的应力水平,而是取决于交变的应力范围和交变的循环次数。安装时的低温只影响最初达到工作循环最高温度时材料塑性变形量,对管道寿命几乎没有影响。
管道工作循环最低温度取决于停热时出现的温度。全年运行的管道停热检修一般在采暖期以后,此时气温、地温已较高,直埋敷设管道由于保温效果好,短期停热管壁温度仍达30℃以上;对于只在采暖期运行的管道,停热时日平均气温不会低于5℃,同样道理,地下敷设管壁温度不会低于10℃。
5.1.3、5.1.4 预制保温管的外壳与土壤之间的摩擦力计算是一项复杂的土力学问题。本条参照欧洲标准《Design and installation of preinsulated bonded pipe systems for district heating》EN 13941的公式。
5.1.5 考虑到目前国内施工中既采用筛过的黏土也采用中砂回填的实际应用状况,本规程给出了在不同情况下摩擦系数μ推荐值表5.1.5。粉质黏土更易形成消力拱,其最小摩擦系数μmin值比回填中砂的低一些。
表5.1.5的摩擦系数值,综合了原哈尔滨建筑工程学院和北京市煤气热力设计所的实验数据,最大摩擦系数μmax值与外国多数资料相符,最小摩擦系数μmin值低一些,这对选补偿器补偿量更有一些安全裕度。
5.1.6 土壤横向压缩反力系数的实测资料较少,本规程目前难以给出详细的数据。不同土壤、不同密实度、不同含水量都影响其取值。具体取值以当地土壤条件实测确定或根据当地的使用经验确定为好。为了便于使用,本规程给出大致的取值范围,并将1978年北京市煤气热力设计所等单位的实测值(测定条件:砂质粉土和粉质黏土,回填密实度为90%~95%)附在条文中,以供取值时参考。
5.1.7 许用应力取值方法沿用原规程规定。
5.2 管壁厚度计算
5.2.1~5.2.3 钢管承受内压需要的壁厚的计算公式与《火力发电厂汽水管道应力计算技术规程》DL/T 5366-2006规定一致。
5.3 直管段应力验算
5.3.1 屈服温差ΔTy是判断管道会不会进入塑性状态工作的依据。它是按照锚固段内管道在温差和内压共同作用下,根据复杂应力状态下的屈斯卡(Tresca)屈服条件,管道在弹性状态下能够承受的最大温差值。当t1-t0≤ΔTy时,管道处在弹性状态下工作,此时,依据虎克定律推导的计算公式全部正确、有效;当t1-t0>ΔTy时,管道进入塑性状态工作,由于管壁屈服,造成管内轴向应力达到了极限值并产生塑性变形,以致对过渡段长度、热伸长量和管道的轴向力发生了影响,在设计计算中必须予以充分考虑。ΔTy的数值将作为边界条件应用于本节以后的各节计算公式中。
由于钢材标准给出的屈服极限σs是最小保证值,实际供货都高于此值,但偏差的范围和分布找不到权威的资料。σs的正偏差对于热伸长量和管道轴向推力的计算影响很大,而且是不安全的,设计中必须予以考虑。本规程编制过程中,调研了两家钢管制造厂,该两厂历年管材焊缝拉伸试验资料中各抽取100个试样的实测数据,本规程取其平均值1.3作为屈服极限增强系数。
5.3.2 直管段的过渡段最大长度Lmax和过渡段最小长度Lmin是过渡段工作状态的两项判据。它们与5.3.1条的ΔTy组成了直埋管道计算中的三项重要边界条件。
过渡段最小长度Lmin是足够长直管道的初次升温到设计供水温度时可能出现热位移的管段长度值。
过渡段最大长度Lmax是管道经过无数次升温、降温伸缩循环,土壤摩擦力逐渐变小,过渡段逐渐增长,最终可能达到的长度,是过渡段长度的极限值。
公式(5.3.2-1)和公式(5.3.2-2)中,分子本应有减去补偿器阻力一项,由于补偿器的阻力与补偿器的型号和吸收的热膨胀量有关,既不好确定又不易计算,为简化计算给予删除,过渡段长度计算结果将增加,设计趋于安全。
5.3.3 过渡段内任一截面上的轴向力,用于确定设置于过渡段内的固定墩的推力。其中,活动端对管道伸缩的阻力系指弯头的轴向力、套筒的摩擦力、波纹管的弹性力和由内压产生的不平衡力。土壤对管道的摩擦力随推动次数变化,轴向力也随之变化。最大轴向力出现在管道初次升温到设计温度时,当L′≥Lmin时,因超出Lmin的管段被锚固,各点的轴向力相同,均等于锚固段起点截面的轴向力。活动端对管道伸缩的阻力在计算最大、最小轴向力时,按最大值取用,以简化计算。
5.3.4 温升低于屈服温差的锚固管道,轴向力取决于温升值;高于屈服温差的管道,因出现了塑性变形,轴向力达到最大值,即极限轴向力。
5.3.5 直埋直管段中锚固段内的应力最高,若锚固段能满足强度条件,则过渡段管道必然满足要求。因此,本条规定直管强度验算先从锚固段开始,如果式(5.3.5-1)获得满足,则平面布置设计时直管段的长度将无限制。如果式(5.3.5-1)不能满足,说明管道平面布置时不能出现锚固段,管道必须布置成全部是过渡段,且过渡段长度不得超过式(5.3.5-2)计算结果,此规定同样适用于弯头两侧直管臂形成的过渡段。
过渡段应力最大点发生在固定端处,此处为过渡段的应力验算点。公式(5.3.5-2)右侧分式上侧(3[σ]-σt)A×106是管道在安定状态工作时,轴向力允许变化范围。分式下侧系数1.6是考虑了管道降温收缩时,在固定端处会产生反向拉力,轴向力变化范围增加的系数。若摩擦力没有下降变化,始终为Fmax,则该系数为2。但根据实际试验结果,摩擦力是随管道温度循环变化的。因此,本规程规定当摩擦力平均下降到单长最大摩擦力的80%时,管道即进入安定状态(即取系数为1.6)。这样规定是符合安定条件(结构经几次少量屈服后能稳定在弹性状态下工作)的。
5.4 直管段局部稳定性验算
5.4.1 管道在承受高轴向压应力和截面内存在缺陷部位可能出现塑性变形的集中。直埋热水管道的温度位移受到了外部摩擦力约束,就是属于承受高轴向压应力的管道系统。
5.4.2 直埋热水管道从整体看属于杆件,但是从局部看又属于薄壁管壳,特别是大直径的管道。对于大管径、高温度、高压力的直埋热水管道,横截面受到较高的压应力作用,当最大压应变达到一个临界水平时便有可能会发生局部屈曲,局部产生较大的变形,导致管道的局部褶皱而失效。管道的局部屈曲多数发生在应力不连续、管壁有缺陷的地方。
国内外有一些关于防止薄壁管壳局部屈曲的研究成果。
1 1976年Sherman提出的临界屈曲应力计算公式为:

2 1991年Stephens等提出的临界屈曲应力计算公式为:

3 欧洲规范EN 13941对于直埋管道径厚比的规定式。
4 国家标准《压力容器》GB 150圆筒许用轴向压缩应力的公式。
通过几个公式的运算结果比较,EN 13941更保守,计算的管壁厚度太大。本条的公式采用国内目前的研究成果,径厚比的计算结果较前两个公式要保守。
5.4.3、5.4.4 理论研究表明,直埋敷设的柔性管道能够利用其周围土壤的承载能力,当管道椭圆变形达到钢管外直径的20%时,才发生整体结构破坏。但试验证明,椭圆变形达到钢管外直径的5%时,管壁便开始出现屈服。国家标准《输油管道工程设计规范》GB 50253-2003,《输气管道工程设计规范》GB 50251-2003都规定管道的椭圆变形量应小于钢管外径的3%,本条是参照上述规范制定的。本条对原公式中按直埋热水管道常见条件代入的基础数据做了处理,便于应用。表5.4.4中车辆荷载按后轴重力标准值140kN,单个轮组70kN计算。
5.5 管件应力验算
5.5.1 埋地水平弯头和竖向弯头的弯矩及轴力目前较成熟的计算方法为有限元法和弹性抗弯铰解析法。前者需利用专用软件在计算机上完成;后者既可电算,又可用于手工计算完成。本规程附录C是原规程附录的内容,计算公式是按弹性抗弯铰解析法通过理论分析推导和适当简化得出的,并经过DN500管道的试验验证。根据对管径从DN600到DN1200弯管的有限元分析,对于管径DN500以上的、转角在80°~120°弯管,采用弹性抗弯铰解析计算法仍然吻合得较好。按照5.5.3的弯头强度验算结果和有限元分析结果相比误差小于5%,且偏于安全。
5.5.2 基于采用弹塑性理论进行管道设计,埋地弯头温度变化引起峰值应力,其对管道安全的影响主要是正常的温度循环范围,对于安装温度低于循环最低温度而产生的一次性较大应力不会影响运行安全。环向应力放大系数βb不考虑内压的影响,同时弯头的柔性系数亦不考虑内压的影响,可使计算简化,亦与《火力发电厂汽水管道应力计算技术规程》DL/T 5366取得一致。其计算结果误差<10%,且偏安全。
5.5.3 埋地弯头的强度验算采用简化的疲劳分析。验算公式形式虽与安定分析一致,但弯头环向应力加强系数采用真实应力加强系数之半(即(5.5.2-2)式中的βb=0.9(1/λ)2/3为真实应力加强系数βb=1.9(1/λ)2/3的一半),计算出的应力为应力变化幅度,所以实质上是按疲劳分析进行弯头的强度验算。弯头的强度验算点在弯头最大弯矩截面的顶部和底部(指弯头平面水平放置),此点热胀应力最大,为环向应力;同时该点处还存在内压环向应力,其值与直管相同,因验算点的热胀应力为应力变化幅度(即应力变化范围之半),所以内压应力也采用变化范围之半,即0.5σpt,许用应力为3[σ](见5.1.1条),故验算式为σbt+0.5σpt≤3[σ]。
5.5.4 三通加固方案是否可行应有足够的依据,或实际进行应力测定,或用有限元法进行计算。有限元法计算的关键是单元的划分,高应力区要划分的较小,以使计算出的应力分布有足够的精确度。经验证明在单元划分合理的情况下计算结果与实际应力测定十分吻合。
5.5.5 本条提供了大轴力荷载三通加固的原则性措施,供加固设计者参考。
5.6 管道竖向稳定性验算
5.6.1~5.6.4 埋地管道中介质温度升高时,管道中产生轴向压力。存在轴向压力的管道有向轴向法线方向凸出使管道弯曲的倾向。由于管道周围土壤在径向和轴向对管道有约束,正常状态下埋地管道在地下保持稳定。当周围土壤的约束力较小或因周围开挖而减小,受压管道会在横向约束最弱的区域丧失稳定。管道在轴向朝失稳区域推进,并在水平方向或垂直方向推开土壤形成弯曲的凸出管段。竖向失稳可能由于设计考虑不周引起,水平失稳多为埋地供热管道投产后由于其他管线施工引起。本规程只涉及竖向失稳校核。
5.7 热伸长计算
5.7.1 本条计算方法适用于计算相邻的两个直管过渡段或直管与弯管臂之间或连接在一起的两个弯管臂之间的驻点。
驻点位置因摩擦力大小、活动端阻力变化而可能发生漂移。土壤摩擦力在管道运行过程中会发生变化,由Fmax变至Fmin。对于两侧有相同型号补偿器的两个相邻直线过渡段(包括有相同规格弯头连接在一起的两个弯管臂),由于两侧对称,驻点在直管段的中点,摩擦力的变化理论上对驻点位置无影响。对于一个直线过渡段和一个弯管臂连接在一起的管段,由于两个过渡段的活动端阻力不同,摩擦力变化时,驻点位置会发生较大漂移。为简化计算,本条规定仅按Fmin求算驻点。此规定是基于当一侧为弯管过渡段时,由内压产生的不平衡力将使驻点向直管过渡段处移动,取Fmin将使弯管过渡段有较大值,这样弯头要吸收较大的热位移,在此条件下弯头强度能满足则弯头是安全的。对于直管过渡段,按Fmin计算的长度会偏小,但考虑到投产初期摩擦力为Fmax,虽过渡段长度较大(将(5.7.1)式中Fmin改为Fmax计算la较大),但管道热伸长被土壤摩擦阻力约束留存在管壁内转化为轴向应力的百分比也较大,同时在5.7.4条规定,对有驻点的过渡段选择补偿器时,应增大20%的裕量。这样也能保证直管过渡段补偿器的安全。
5.7.2 当整个过渡段处在弹性状态时,管道应力和应变的关系完全符合虎克定律。当过渡段内有部分管道进入塑性状态时,过渡段总热伸长量计算中要考虑由于管壁屈服产生的塑性变形。
5.7.3 该条列出了在过渡段中间部位设有分支时,计算分支点位移的步骤。
5.7.4 补偿器补偿能力选择应适当留有余地。考虑到5.3.1条对σs引入了增强系数n=1.3,已经提高了补偿器补偿能力,因此余地不宜过大。本规程规定一般为计算热伸长量的10%。对有驻点的过渡段,由于两过渡段连接在一起,驻点位置很可能发生漂移而造成过渡段长度加长,对热伸长影响较大,为此规定余量提高到20%。
6 固定墩设计
6.1 管道对固定墩和固定支架的作用
6.1.1 管道对固定点的作用力的解释如下:
1 管道热胀冷缩受土壤约束产生的作用力,指过渡段土壤对管道产生的摩擦力及锚固段的轴向力。
2 内压不平衡力指固定点两侧管道横截面不对称在内压作用力下产生的不平衡力,也包括波纹管补偿器端波环状计算截面上的内压作用力。内压不平衡力按计算压力值计算。
3 活动端位移产生的作用力指补偿器的弹性力或摩擦力,转角管段升温变形引起的侧向土壤压缩反力等轴向力。
6.1.2 本条明确固定点两侧管段作用力合成的原则。
1 基于固定点两侧管段的作用力的方向性。
2 固定点两侧管段长度不同时,摩擦力下降对各自管段轴向力的影响可能不同。例如两侧管道起初均为锚固状态,摩擦力随升温次数增加而下降,由于两侧管段长度不同,一侧先进入过渡段,造成两侧管道轴向力的差异,这时应按可能出现的最大差异计算固定点受力。
3 规定两侧管道作用力合成时,方向相反的力不能简单地抵消。对于热胀约束力和补偿器作用力只应抵消一部分(即抵消系数<1),而保留一部分安全裕量。这是因为计算存在误差(如土壤摩擦力及其下降规律不可能十分准确,因土壤的情况在沿线是有差别的),同时,升、降温过程在管道上是以一定速率传播的,处于不同位置的管道在升、降温过程中同一瞬间可能处于不同的温度状态,造成计算作用力不同时出现。因此不同方向的计算作用力不能按完全抵消考虑。
抵消系数的数值是由经验确定的,对于管沟敷设管道,目前国内有的设计单位取0.7,有的取0.8。对直埋敷设管道,本规程规定在推力计算时,不考虑固定墩位移,但实际上不可能绝对不发生位移,一旦有微量的位移,其推力将有所降低,因此本规程对摩擦力或补偿器作用力抵消系数在取值上取高值(为0.8),这样在工程上较经济,也较安全。
4 对于处在锚固段的固定墩,理论上说抵消系数应为1。考虑到两侧土壤状况、摩擦力的变化以及钢管的性能、制造精度不可能完全一致,本规程规定抵消系数取0.9,留有10%的安全裕量。
5 对于内压不平衡力的抵消,首先是计算管道横截面和压力值较准确,同时压力在管道中传递速度非常快,固定点两侧内压作用力同时发生,因此规程规定抵消系数按1.0取用。
6.1.3 本规程附录D列出了典型管道布置的固定墩、固定支架承受的推力计算公式,管道的其他布置形式和运行状态按照本规程第6.1.1条和6.1.2条的规定计算。
6.1.4 由于工程中按附录D计算得出的固定支墩、固定支架的推力很大,大直径的供热管道产生的推力高达上千吨,导致固定墩尺寸太大,不但施工困难,而且偏离了原有的计算模型。根据实践检验,固定墩的微量位移可以大大减小固定墩的合成推力。本规程固定墩减少的推力数值是管道摩擦力部分或全部反向的作用结果。事实上由于土壤是可压缩的非刚性体,在固定墩发生微量位移的情况下土壤的被动土压力增大,也抵消了一部分管道的轴向力。这部分力作为安全储备没有核减。
公式(6.1.4-1)的推导:
理论上在锚固段最大轴向力为:
Na=[α×E(t1-t0)-υσt]A
允许管道发生微量变形时,此时管锚固段受力为:
T=[α×E(t1-t0)-υσt]A-T′
在管段内产生了轴向力的衰减T′=F×L

当减少值大于合成推力时,应调小允许位移量。
6 固定墩设计
6.1 管道对固定墩和固定支架的作用
6.1.1 管道对固定点的作用力的解释如下:
1 管道热胀冷缩受土壤约束产生的作用力,指过渡段土壤对管道产生的摩擦力及锚固段的轴向力。
2 内压不平衡力指固定点两侧管道横截面不对称在内压作用力下产生的不平衡力,也包括波纹管补偿器端波环状计算截面上的内压作用力。内压不平衡力按计算压力值计算。
3 活动端位移产生的作用力指补偿器的弹性力或摩擦力,转角管段升温变形引起的侧向土壤压缩反力等轴向力。
6.1.2 本条明确固定点两侧管段作用力合成的原则。
1 基于固定点两侧管段的作用力的方向性。
2 固定点两侧管段长度不同时,摩擦力下降对各自管段轴向力的影响可能不同。例如两侧管道起初均为锚固状态,摩擦力随升温次数增加而下降,由于两侧管段长度不同,一侧先进入过渡段,造成两侧管道轴向力的差异,这时应按可能出现的最大差异计算固定点受力。
3 规定两侧管道作用力合成时,方向相反的力不能简单地抵消。对于热胀约束力和补偿器作用力只应抵消一部分(即抵消系数<1),而保留一部分安全裕量。这是因为计算存在误差(如土壤摩擦力及其下降规律不可能十分准确,因土壤的情况在沿线是有差别的),同时,升、降温过程在管道上是以一定速率传播的,处于不同位置的管道在升、降温过程中同一瞬间可能处于不同的温度状态,造成计算作用力不同时出现。因此不同方向的计算作用力不能按完全抵消考虑。
抵消系数的数值是由经验确定的,对于管沟敷设管道,目前国内有的设计单位取0.7,有的取0.8。对直埋敷设管道,本规程规定在推力计算时,不考虑固定墩位移,但实际上不可能绝对不发生位移,一旦有微量的位移,其推力将有所降低,因此本规程对摩擦力或补偿器作用力抵消系数在取值上取高值(为0.8),这样在工程上较经济,也较安全。
4 对于处在锚固段的固定墩,理论上说抵消系数应为1。考虑到两侧土壤状况、摩擦力的变化以及钢管的性能、制造精度不可能完全一致,本规程规定抵消系数取0.9,留有10%的安全裕量。
5 对于内压不平衡力的抵消,首先是计算管道横截面和压力值较准确,同时压力在管道中传递速度非常快,固定点两侧内压作用力同时发生,因此规程规定抵消系数按1.0取用。
6.1.3 本规程附录D列出了典型管道布置的固定墩、固定支架承受的推力计算公式,管道的其他布置形式和运行状态按照本规程第6.1.1条和6.1.2条的规定计算。
6.1.4 由于工程中按附录D计算得出的固定支墩、固定支架的推力很大,大直径的供热管道产生的推力高达上千吨,导致固定墩尺寸太大,不但施工困难,而且偏离了原有的计算模型。根据实践检验,固定墩的微量位移可以大大减小固定墩的合成推力。本规程固定墩减少的推力数值是管道摩擦力部分或全部反向的作用结果。事实上由于土壤是可压缩的非刚性体,在固定墩发生微量位移的情况下土壤的被动土压力增大,也抵消了一部分管道的轴向力。这部分力作为安全储备没有核减。
公式(6.1.4-1)的推导:
理论上在锚固段最大轴向力为:
Na=[α×E(t1-t0)-υσt]A
允许管道发生微量变形时,此时管锚固段受力为:
T=[α×E(t1-t0)-υσt]A-T′
在管段内产生了轴向力的衰减T′=F×L

当减少值大于合成推力时,应调小允许位移量。
6.2 固定墩结构
6.2.1 本条明确对固定墩两侧回填土的要求,以满足固定墩工作状态的假定。固定墩后背土压力折减系数Ks,对于高压缩性土取低值,低压缩性土取高值。无位移固定墩背后回填土相当于刚体,回填土的压实系数0.95~0.96,低压缩性土;小位移固定墩背后回填土相当于有限塑变体,回填土的压实系数0.90~0.94,中高压缩性土。压实系数的要求参照地基处理规范,并由经验确定,随研究工作的发展和实践经验的丰富,该系数可进一步修改。
Ep、Ea计算式(6.2.1-4)、(6.2.1-5),是在固定墩受力面为直立、光滑、回填土是无黏性填土的前提下建立的。若实际情况不同,应按实际情况设计。
关于抗倾覆验算,结合管道垂直稳定性验算,确定了管道最小覆土深度,使得管道周围土对管道上部形成良好约束。由于管道自身刚度影响,在固定墩两侧各10倍管径范围内,可形成较大的抗倾覆力矩,作为固定墩抗倾覆能力的储备。而且管径越大抗倾覆的储备能力越大,因此Kov取值不必大。
6.2.2、6.2.3 固定墩结构设计参照现行国家标准《混凝土结构设计规范》GB 50010的规定。
6.2.4 直埋管道对固定墩的推力较大,且固定墩直接埋于地下受地下水侵蚀,要求材料具有耐久性。
6.2.5 预制保温管固定节浇注在固定墩混凝土结构内,因热水管道散热,固定墩接触保温管外壳的局部混凝土温度高于周围土壤温度,需要采取隔热或耐热措施。
7 管道施工与验收
7.1 施 工
7.1.1 直埋热水管道运行期间温度变化幅度大,施工的技术要求相对给水排水管道,甚至燃气管道高,具备施工资质是最基本的要求,也是施工单位参与其他市政管线建设的必备条件。
7.1.2 施工首先要有技术质量标准,至少要清楚直埋管道施工中要执行哪些国家的现行标准,明晰主要技术内容、重点技术要求,并为此建立管理体系和制度,方可落实、执行。
7.1.3 城市地下设施复杂,施工中不可避免与设计方案有差别。在遇到实际情况不能执行设计时,按手续提请设计变更后再行施工。也就是说,不管何时,施工只能按设计进行,不但是确保工程质量,也是施工单位对自身的保护。
7.1.4 要求建设单位或设计单位向施工单位提供供热管网工程设计测量所用的原始测量资料,施工单位以此进行工程线位和高程测量,便于施工测量和设计测量的统一;设计测量所用控制点的精度等级不符合工程测量要求时,施工单位应会同设计、测量及监理单位共同复核,并确定满足要求的测量系统;为了施工测量和设计测量一致,并在施工测量中对设计测量进行必要的校核,推荐工程测量与设计测量使用同一测量标志。
7.1.5 由施工引起的损坏其他地下管道或设施的事故年年发生,核对管道路由、相关地下管道以及构筑物的资料十分必要,不但可确保管线路由正确,避免事故的发生,而且可知设计方案是否可行,提早进行设计变更,使施工顺畅、有序。
7.1.6 穿越其他市政设施要采取相应措施,特别是对强电、燃气、给水等管道采取保护措施非常重要,包括管道的防腐层都要进行保护,否则将降低管道的使用寿命。采取保护一方面是不损坏其他管道或设施,另一方面也是保证施工的安全。产权单位最了解管线的压力等运行参数、已使用年限和保护方法,与之协调是正确的做法。
7.1.7 在地下水较高和雨季施工期间,沟槽开挖应采取降排水预防措施,避免槽底受水浸泡。沟槽有水危害方面如下:(1)受水浸泡的沟槽会产生地基承载力下降、地基松软、边坡失稳塌方、上部建(构)筑物坍塌等安全风险;(2)排水不良基底有积水,混凝土浇筑后难以成型且混凝土强度会因水灰比增大而降低;(3)如沟槽内有水,任何措施都保证不了保温管不被水浸泡,直接后果是①泡沫保温层进水导致保温效果降低、保温管寿命缩减或高温汽化HDPE外护管爆裂;②现场保温接口失效,表现为HDPE外护管虚焊接及泡沫保温层萎缩失效。
7.1.8 市政管线在城市,特别是在人口密集区都采用封闭式施工,保障交通参与者和施工人员的安全。夜间在城镇居民区或现有道路施工时,极易造成车辆或行人掉入管沟、碰撞施工围挡等事故,设置照明灯、警示灯和反光警示标志,能大大提高其安全性。在《城镇供热管网工程施工及验收规范》CJJ 28中,夜间设置照明灯、警示灯和反光警示标志是强制性条文,注意必须严格执行。
7.1.9 工厂预制的直埋保温管及保温管件比现场制作的保温产品质量高、质量可靠可控,因此本规范推荐使用工厂预制保温产品。
7.1.10 直埋管及管路附件生产中可能存在质量问题,运输时损坏,在安装前进行外观检查十分必要,不但保证施工质量,也可降低返工的可能性。
7.1.11 在《城镇供热管网工程施工及验收规范》CJJ 28中,对开挖和回填作了详细规定,包括开挖时的预留值、超挖的处理、回填及回填土的要求等。
1 城市管线开挖时常会遇到地下管线或构筑物,随意处置、不加保护有可能被损坏或给施工造成安全隐患,与有关单位协商采取何种保护措施,是稳妥的做法。
2 规定管沟沟底宽度,是为了保证直埋管道周围回填的质量。工作坑是为满足管道焊接、保温、检验等的需要,在预制保温管接头处加宽加深沟槽。本规程给出了推荐性做法,施工单位可根据自身的施工水平和方法及现场条件确定。
3 沟槽开挖必须遵照国家和地方的现行规定,例如开挖所要求的边坡或侧面支承的规定等。在开挖的深度、空间和土壤条件不容许采用简单的带边坡的沟槽处,就必须设置匣钵柱或钭撑作侧面支承。

7.1.12 有限空间是指封闭或部分封闭,进出口较为狭窄有限,未被设计为固定工作的场所,如热力隧道、检查井、管道、地下排水管道、化粪池、废井等均为有限空间。有限空间内通风不良,作业条件和作业环境差,因此应事先制定实施方案,在确保安全的前提下,方可进入有限空间进行作业。由于有限空间易造成有毒有害、易燃易爆物质积聚或氧含量不足,因此进入有限空间前应先进行气体检测。未经检测,作业人员进入有限空间后吸入有毒有害气体可能会造成中毒、窒息等后果;易燃易爆物质在有限空间动火作业时可能会引起爆炸,造成安全事故和财产损失。在《城镇供热管网工程施工及验收规范》CJJ 28中,该条文为强制性条文,注意必须严格执行。
7.1.13 《城镇供热管网工程施工及验收规范》CJJ 28中,对管道及管路附件安装作了详细规定,包括管道支、吊架安装;焊接和检验;补偿器安装;法兰和阀门安装等。
1 由于不同厂家生产的保温管、管件及接头所用的外护管的材料不同,材料的熔体流动速率值会不同。如接头处外护层与相邻的直管或管件的外护管所用材料的熔体流动速率值不匹配,会影响其焊接质量,从而影响接头外护层的密封性能。所以,应尽可能采用同一厂家的保温管、管件及保温接头。当工作管采用不同材质、不同壁厚的钢管时会产生局部应力集中,需要设计进行强度校核。
3 在接头施工过程中,如果有水从接头处进入保温层,在管网高温运行下,水汽将会导致保温层碳化,且留存于接头内的水或潮气,在管网高温运行过程中,会逐渐破坏接头外护层的密封性。一旦接头的密封性被破坏,外界水进入保温层,会导致保温层的不断碳化,并向两侧延伸,地下水直接与工作钢管接触,很快腐蚀管道,影响保温管的寿命及管网安全性。当日工程完工对管端用盲板封堵,避免管道进入异物和安全。
近几年,很多埋设于地下的预制直埋保温管的安全事故都是由于施工时对保温材料裸露处没有进行密封处理引发的。由于没有密封,水进入到保温层中破坏保温结构,引起保温接头外护层脱落、工作钢管腐蚀,最终导致管线发生泄露引发安全事故。通常可选用末端套筒、收缩端帽等专用附件对直埋保温管道系统的盲端、穿墙等保温材料裸露位置,进行密封和防水处理。“对裸露的保温层进行封端防水处理”在《城镇供热管网工程施工及验收规范》CJJ 28中为强制性条文,注意必须严格执行。
4 直埋管道中的折角对管道安全有很大影响。在管道安装过程中,如果临时出现折角,折角位置的管道应力将发生变化,需要设计单位对应力进行重新计算和确认,并采取相应措施后才能继续施工。
6 信号线在上方,便于信号线的安装及检查。相同颜色的线对齐连接,可避免信号线在接头处绕行,影响监测系统定位的准确性。工作钢管焊接前应测试信号线的通断状况和电阻值,如发现信号线不合格,应更换保温管。如在焊接完成后发现信号线不通或断路,应更换保温管或对信号线进行定位修复。修复后应保证外护管的密封性。
7 1)接口保温在工作钢管安装完毕及焊缝检测合格、强度试验合格后进行,以免掩盖焊缝的缺陷。
2)冬期施工时,由于环境温度低,接口保温发泡质量会受影响,所以应尽量避开冬期施工。不能避免时,接头发泡前,应对工作钢管、外护管表面及发泡原料加热后再进行保温发泡。
4)浸湿的保温材料如不清除,在管网高温运行过程中,残留在保温层中的水由于管网温度的升高而汽化,会导致保温层的碳化并破坏接头外护层的密封性。
5)外护层与其两侧的保温管外护管的搭接长度不应小于100mm,以保证接头外护层的强度及密封性。尤其对于热熔焊式接头,外护层的熔焊区域应完全与保温管的外护管搭接,以保证熔焊质量及密封性。
8 接头质量对管网的整体质量及寿命有至关重要的影响。如果接头处密封不能保证,水进入接头后,高温运行时会导致聚氨酯保温材料碳化失效,破坏预制直埋保温管系统的整体式结构,导致整个管网系统失效。所以,接头处必须进行100%的气密性检验。在《城镇供热管网工程施工及验收规范》CJJ 28中,该项规定为强制性条文,注意必须严格执行。
7.1.14 固定墩、固定支架必须达到设计强度和覆土厚度、长度、密实度等要求,才能在试压和试运行中起到限制管道位移的作用。
7 管道施工与验收
7.1 施 工
7.1.1 直埋热水管道运行期间温度变化幅度大,施工的技术要求相对给水排水管道,甚至燃气管道高,具备施工资质是最基本的要求,也是施工单位参与其他市政管线建设的必备条件。
7.1.2 施工首先要有技术质量标准,至少要清楚直埋管道施工中要执行哪些国家的现行标准,明晰主要技术内容、重点技术要求,并为此建立管理体系和制度,方可落实、执行。
7.1.3 城市地下设施复杂,施工中不可避免与设计方案有差别。在遇到实际情况不能执行设计时,按手续提请设计变更后再行施工。也就是说,不管何时,施工只能按设计进行,不但是确保工程质量,也是施工单位对自身的保护。
7.1.4 要求建设单位或设计单位向施工单位提供供热管网工程设计测量所用的原始测量资料,施工单位以此进行工程线位和高程测量,便于施工测量和设计测量的统一;设计测量所用控制点的精度等级不符合工程测量要求时,施工单位应会同设计、测量及监理单位共同复核,并确定满足要求的测量系统;为了施工测量和设计测量一致,并在施工测量中对设计测量进行必要的校核,推荐工程测量与设计测量使用同一测量标志。
7.1.5 由施工引起的损坏其他地下管道或设施的事故年年发生,核对管道路由、相关地下管道以及构筑物的资料十分必要,不但可确保管线路由正确,避免事故的发生,而且可知设计方案是否可行,提早进行设计变更,使施工顺畅、有序。
7.1.6 穿越其他市政设施要采取相应措施,特别是对强电、燃气、给水等管道采取保护措施非常重要,包括管道的防腐层都要进行保护,否则将降低管道的使用寿命。采取保护一方面是不损坏其他管道或设施,另一方面也是保证施工的安全。产权单位最了解管线的压力等运行参数、已使用年限和保护方法,与之协调是正确的做法。
7.1.7 在地下水较高和雨季施工期间,沟槽开挖应采取降排水预防措施,避免槽底受水浸泡。沟槽有水危害方面如下:(1)受水浸泡的沟槽会产生地基承载力下降、地基松软、边坡失稳塌方、上部建(构)筑物坍塌等安全风险;(2)排水不良基底有积水,混凝土浇筑后难以成型且混凝土强度会因水灰比增大而降低;(3)如沟槽内有水,任何措施都保证不了保温管不被水浸泡,直接后果是①泡沫保温层进水导致保温效果降低、保温管寿命缩减或高温汽化HDPE外护管爆裂;②现场保温接口失效,表现为HDPE外护管虚焊接及泡沫保温层萎缩失效。
7.1.8 市政管线在城市,特别是在人口密集区都采用封闭式施工,保障交通参与者和施工人员的安全。夜间在城镇居民区或现有道路施工时,极易造成车辆或行人掉入管沟、碰撞施工围挡等事故,设置照明灯、警示灯和反光警示标志,能大大提高其安全性。在《城镇供热管网工程施工及验收规范》CJJ 28中,夜间设置照明灯、警示灯和反光警示标志是强制性条文,注意必须严格执行。
7.1.9 工厂预制的直埋保温管及保温管件比现场制作的保温产品质量高、质量可靠可控,因此本规范推荐使用工厂预制保温产品。
7.1.10 直埋管及管路附件生产中可能存在质量问题,运输时损坏,在安装前进行外观检查十分必要,不但保证施工质量,也可降低返工的可能性。
7.1.11 在《城镇供热管网工程施工及验收规范》CJJ 28中,对开挖和回填作了详细规定,包括开挖时的预留值、超挖的处理、回填及回填土的要求等。
1 城市管线开挖时常会遇到地下管线或构筑物,随意处置、不加保护有可能被损坏或给施工造成安全隐患,与有关单位协商采取何种保护措施,是稳妥的做法。
2 规定管沟沟底宽度,是为了保证直埋管道周围回填的质量。工作坑是为满足管道焊接、保温、检验等的需要,在预制保温管接头处加宽加深沟槽。本规程给出了推荐性做法,施工单位可根据自身的施工水平和方法及现场条件确定。
3 沟槽开挖必须遵照国家和地方的现行规定,例如开挖所要求的边坡或侧面支承的规定等。在开挖的深度、空间和土壤条件不容许采用简单的带边坡的沟槽处,就必须设置匣钵柱或钭撑作侧面支承。

7.1.12 有限空间是指封闭或部分封闭,进出口较为狭窄有限,未被设计为固定工作的场所,如热力隧道、检查井、管道、地下排水管道、化粪池、废井等均为有限空间。有限空间内通风不良,作业条件和作业环境差,因此应事先制定实施方案,在确保安全的前提下,方可进入有限空间进行作业。由于有限空间易造成有毒有害、易燃易爆物质积聚或氧含量不足,因此进入有限空间前应先进行气体检测。未经检测,作业人员进入有限空间后吸入有毒有害气体可能会造成中毒、窒息等后果;易燃易爆物质在有限空间动火作业时可能会引起爆炸,造成安全事故和财产损失。在《城镇供热管网工程施工及验收规范》CJJ 28中,该条文为强制性条文,注意必须严格执行。
7.1.13 《城镇供热管网工程施工及验收规范》CJJ 28中,对管道及管路附件安装作了详细规定,包括管道支、吊架安装;焊接和检验;补偿器安装;法兰和阀门安装等。
1 由于不同厂家生产的保温管、管件及接头所用的外护管的材料不同,材料的熔体流动速率值会不同。如接头处外护层与相邻的直管或管件的外护管所用材料的熔体流动速率值不匹配,会影响其焊接质量,从而影响接头外护层的密封性能。所以,应尽可能采用同一厂家的保温管、管件及保温接头。当工作管采用不同材质、不同壁厚的钢管时会产生局部应力集中,需要设计进行强度校核。
3 在接头施工过程中,如果有水从接头处进入保温层,在管网高温运行下,水汽将会导致保温层碳化,且留存于接头内的水或潮气,在管网高温运行过程中,会逐渐破坏接头外护层的密封性。一旦接头的密封性被破坏,外界水进入保温层,会导致保温层的不断碳化,并向两侧延伸,地下水直接与工作钢管接触,很快腐蚀管道,影响保温管的寿命及管网安全性。当日工程完工对管端用盲板封堵,避免管道进入异物和安全。
近几年,很多埋设于地下的预制直埋保温管的安全事故都是由于施工时对保温材料裸露处没有进行密封处理引发的。由于没有密封,水进入到保温层中破坏保温结构,引起保温接头外护层脱落、工作钢管腐蚀,最终导致管线发生泄露引发安全事故。通常可选用末端套筒、收缩端帽等专用附件对直埋保温管道系统的盲端、穿墙等保温材料裸露位置,进行密封和防水处理。“对裸露的保温层进行封端防水处理”在《城镇供热管网工程施工及验收规范》CJJ 28中为强制性条文,注意必须严格执行。
4 直埋管道中的折角对管道安全有很大影响。在管道安装过程中,如果临时出现折角,折角位置的管道应力将发生变化,需要设计单位对应力进行重新计算和确认,并采取相应措施后才能继续施工。
6 信号线在上方,便于信号线的安装及检查。相同颜色的线对齐连接,可避免信号线在接头处绕行,影响监测系统定位的准确性。工作钢管焊接前应测试信号线的通断状况和电阻值,如发现信号线不合格,应更换保温管。如在焊接完成后发现信号线不通或断路,应更换保温管或对信号线进行定位修复。修复后应保证外护管的密封性。
7 1)接口保温在工作钢管安装完毕及焊缝检测合格、强度试验合格后进行,以免掩盖焊缝的缺陷。
2)冬期施工时,由于环境温度低,接口保温发泡质量会受影响,所以应尽量避开冬期施工。不能避免时,接头发泡前,应对工作钢管、外护管表面及发泡原料加热后再进行保温发泡。
4)浸湿的保温材料如不清除,在管网高温运行过程中,残留在保温层中的水由于管网温度的升高而汽化,会导致保温层的碳化并破坏接头外护层的密封性。
5)外护层与其两侧的保温管外护管的搭接长度不应小于100mm,以保证接头外护层的强度及密封性。尤其对于热熔焊式接头,外护层的熔焊区域应完全与保温管的外护管搭接,以保证熔焊质量及密封性。
8 接头质量对管网的整体质量及寿命有至关重要的影响。如果接头处密封不能保证,水进入接头后,高温运行时会导致聚氨酯保温材料碳化失效,破坏预制直埋保温管系统的整体式结构,导致整个管网系统失效。所以,接头处必须进行100%的气密性检验。在《城镇供热管网工程施工及验收规范》CJJ 28中,该项规定为强制性条文,注意必须严格执行。
7.1.14 固定墩、固定支架必须达到设计强度和覆土厚度、长度、密实度等要求,才能在试压和试运行中起到限制管道位移的作用。
7.2 管道试验和清洗
7.2.1 《城镇供热管网工程施工及验收规范》CJJ 28对管道试验和清洗作了详细的规定,包括试验程序、安全措施、试验压力、试验条件及合格判定、清洗等要求。本规程没有对所有要求进行赘述,在试验和清洗前,应熟悉《城镇供热管网工程施工及验收规范》CJJ 28的所有要求。
7.2.2 强度试验是对工作管及焊接接头的强度进行检验,补偿器等设备不参与试验。严密性试验是在管道的焊接安装工程全部完成后进行的总体试验,补偿器等设备参与试验,因此固定墩、固定支架、检查室等受力结构必须达到规定的强度,沟槽回填也必须达到密实度要求,避免试压时管道发生非正常变形,试验段始末两端的固定支架应由设计进行核算。
7.2.3 管道压力试验和清洗方案包括:编制依据、工程概况、试验范围、技术质量标准、试验工作部署、安全措施、平面图及纵断图等内容。
7.2.4 管道压力试验和清洗时,最容易出现安全事故,做好安全防范工作十分重要。
7.2.5 试验时所发现的缺陷,必须待试验压力降至大气压后进行修补是为了保证施工安全。管道内带压时进行焊接、切割、拆卸法兰等都是极其危险的,以往的施工中已有很多的教训。
7.2.6 为保证运行安全应在试运行前进行清洗。《城镇供热管网工程施工及验收规范》CJJ 28规定清洗可采用人工清洗、水力冲洗和蒸汽吹洗,直埋热水管道固定点少,不推荐采用蒸汽吹洗,本条规定清洗介质为水。
水力冲洗的进水口管径和出水口管径,保证冲洗过程中的水流量和流速,以排出管道内异物。
7.2.7 单位工程一般是指一个合同段的工程,当工程项目较大时可分成若干个单位工程进行验收。单位工程是在各种检验及自检的基础上进行的验收,主要目的是检查工程各部位是否达到设计要求及使用标准,检查各种记录是否完整、合格验收,对施工质量做出结论性意见,为管道试运行做准备。《城镇供热管网工程施工及验收规范》CJJ 28对单位工程验收的组织形式、验收项目、文件资料等进行了规定。
7.3 试 运 行
7.3.1 单位工程一般是指一个合同段的工程,当工程项目较大时可分成若干个单位工程进行验收。单位工程验收要求在《城镇供热管网工程施工及验收规范》CJJ 28中有明确规定。热源是指可提供热能的厂、站或管网。
7.3.2 试运行工作是一项系统工程,要做充分的准备工作,制定试运行方案,并进行技术交底,对试运行各个阶段的任务、方法、步骤、各方面的协调配合以及应急措施等均应做细致安排。试运行方案的编制应包括以下内容:编制依据、工程概况、试运行范围、技术质量要求、试运行工作部署、指挥部及职能、安全措施、平面图、纵断图等内容。
7.3.3 试运行是升温、升压的过程,完善、可靠的通信系统对运行调试和紧急事件的处理十分必要。
7.3.4 《城镇供热管网工程施工及验收规范》CJJ 28对试运行作了具体的规定,包括升温速度、运行时间、热拧紧措施及运行记录等。
7.3.5 安全包括对管道和环境两个方面。带温、带压处理管道和设备的缺陷是非常危险的,容易造成事故。
7.4 竣工验收
7.4.1 竣工验收指试运行合格后,竣工资料已整理完毕,而且宜在正常运行一段时间后,由建设单位组织设计单位、施工单位、监理单位、管理单位等对资料和工程进行验收。竣工验收是在各种检验及自检的基础上进行的验收,主要目的是检查工程各部位是否达到设计要求及使用标准,检查各种记录是否完整、合格。
7.4.2 《城镇供热管网工程施工及验收规范》CJJ 28对竣工验收的组织形式、验收步骤、验收项目、合格判定、文件资料、存档等进行了规定。
8 运行与维护
8.0.1 运行、维护做到有章可循、岗位明确,作业规范,使运行维护达到安全、准确、迅速。
8.0.2 持有上岗证的操作人员应根据各方面情况的变化,进行针对性培训。运行及维修人员素质的提高可有效防止因操作错误造成的损失。
8.0.3 在检查室等有限空间操作极易发生安全事故,不仅是供热行业,其他市政管线也有不少的经验教训,本条结合供热运行维护特点提出的安全要求应遵守,确保操作人员的安全。当有人在内部作业时,严禁使用带电部分可能浸泡在水中的设备。
8.0.4 《城镇供热系统安全运行技术规程》CJJ/T 88中,对运行维护制定了详细的规定,内容包括运行前的准备、管网的启动、运行与调节、补水及定压、停止运行、故障处理、维护、检修等。
1 巡检方案包括巡检周期、路线、内容、方法及问题上报、处理程序等。巡检周期一般可根据管线运行年限、管线运行升温和运行期间、管线停运降温和停运期间、管线重要性等确定。
2 系统参数不正常等异常情况时,在查找热源、泵站原因的同时,应考虑管网出现事故的可能性,加强全网巡检可及时发现问题,降低事故程度。
3 由于外界施工对供热管网造成的破坏事件时有发生,已严重影响到人民生命以及供热系统的安全。无论是管网巡线或其他途径知晓在供热管网路由附近有其他市政设施施工,都应分析对供热管道的影响程度,并确定可采取的措施。
4 发现管道泄漏没有立即设置安全警示标志或采取防护措施,造成人身安全事故和次生灾害时有发生。当事故原因查明后应根据实际情况及时调整警戒区范围,减小对周边的影响。巡检方案中,要根据事故或故障的级别分别编制事故现场的安全警示标志的设置要求和需要采取的防护措施,并需要定期检查和演练。
5 直埋热水管道由于土壤的约束起到至关重要的作用,故应尽量避免供热管网运行期间在直埋管道上边或侧面进行平行开槽。