首页 宝鸡信息 宝鸡资讯

搜索资讯页

(来源:网站编辑 2024-01-05 23:45)
文章正文

按照《2023年宝鸡市公安局公开招聘警务辅助人员公告》规定,现将面试有关事项公告如下:

一、面试人员名单的确定

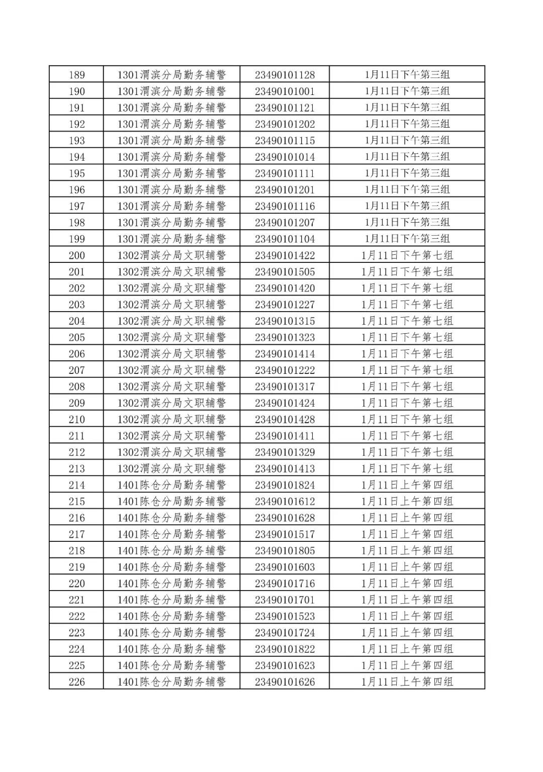
经笔试、面试资格复审、体能测评,共计697名应聘人员取得面试资格(面试人员名单及分组详见附件1)。

二、面试时间和地点安排

面试时间:2024年1月11日(星期四)

面试地点:宝鸡铁路技师学院

乘车路线:市内乘公交62路、81路、15路等公交车在宝鸡铁路技师学院站下车。

三、面试形式

本次面试形式为结构化面试,主要考察考生的综合分析能力、应变能力和逻辑思维能力。

四、面试程序

考生应在1月11日上午7:30(下午13:30),凭本人有效身份证、盖有“宝鸡市公安局招聘警务辅助人员专用章”印章的《2023年宝鸡市公安局公开招聘警务辅助人员准考证》原件进入考点。在指定地点集合后,由工作人员引导进入候考室学习面试程序和相关要求,参加面试抽签,按照面试抽签号顺序依次参加面试,面试时间为6分钟,面试结束后主考官当场宣布得分,个人签字确认后由引导员引导离开考场。

五、重要提示

1、请考生仔细阅读公告及附件分组情况,熟悉本人面试时间、地点、分组等情况,提前查询交通路线,适当安排路途时间,注意安全。

2、考生本人凭有效身份证、盖有“宝鸡市公安局招聘警务辅助人员专用章”印章的《2023年宝鸡市公安局公开招聘警务辅助人员准考证》原件进入面试地点,证件不全者,不得进入考场。

3、考生应严格遵守时间规定,面试当天上午7:30分前(下午13:30)前到达面试地点,服从工作人员管理安排。未按规定时间到达面试地点的,视为自动放弃面试资格。

4、面试结束后,根据笔试和面试总成绩由高到低顺序及招聘计划确定体检、考察人员,有关信息将在宝鸡市公安局网站、宝鸡市公安局微信公众号发布,请考生密切关注。

5.请考生认真阅读《面试考生须知》(附件2)。

附件:

1.2023年宝鸡市公安局公开招聘警务辅助人员面试分组名单;

2.2023年宝鸡市公安局公开招聘警务辅助人员面试考生须知。

首页
评论
分享
Top